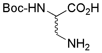
Na-Boc-DL-diaminopropionic acid is widely utilized in research focused on:
- Peptide Synthesis: This compound serves as a valuable building block in the synthesis of peptides, particularly in the development of pharmaceuticals and biologically active compounds.
- Drug Development: It plays a crucial role in the design of new drugs, especially those targeting specific biological pathways, enhancing the efficacy and selectivity of therapeutic agents.
- Bioconjugation: The compound is used in bioconjugation techniques to attach biomolecules to drugs or diagnostic agents, improving their delivery and effectiveness in targeted therapies.
- Research in Neuroscience: It is applied in studies related to neurotransmitter systems, aiding in the understanding of neurological disorders and the development of potential treatments.
- Protein Engineering: This chemical is instrumental in modifying proteins to enhance their stability and functionality, which is essential in various biotechnological applications.
General Information
Properties
Safety and Regulations
Applications
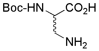
Na-Boc-DL-diaminopropionic acid is widely utilized in research focused on:
- Peptide Synthesis: This compound serves as a valuable building block in the synthesis of peptides, particularly in the development of pharmaceuticals and biologically active compounds.
- Drug Development: It plays a crucial role in the design of new drugs, especially those targeting specific biological pathways, enhancing the efficacy and selectivity of therapeutic agents.
- Bioconjugation: The compound is used in bioconjugation techniques to attach biomolecules to drugs or diagnostic agents, improving their delivery and effectiveness in targeted therapies.
- Research in Neuroscience: It is applied in studies related to neurotransmitter systems, aiding in the understanding of neurological disorders and the development of potential treatments.
- Protein Engineering: This chemical is instrumental in modifying proteins to enhance their stability and functionality, which is essential in various biotechnological applications.
Documents
Safety Data Sheets (SDS)
The SDS provides comprehensive safety information on handling, storage, and disposal of the product.
Product Specification (PS)
The PS provides a comprehensive breakdown of the product’s properties, including chemical composition, physical state, purity, and storage requirements. It also details acceptable quality ranges and the product's intended applications.
Certificates of Analysis (COA)
Search for Certificates of Analysis (COA) by entering the products Lot Number. Lot and Batch Numbers can be found on a product’s label following the words ‘Lot’ or ‘Batch’.
Número de catálogo
Número de lote/lote
Certificates Of Origin (COO)
This COO confirms the country where the product was manufactured, and also details the materials and components used in it and whether it is derived from natural, synthetic, or other specific sources. This certificate may be required for customs, trade, and regulatory compliance.
Número de catálogo
Número de lote/lote
Safety Data Sheets (SDS)
The SDS provides comprehensive safety information on handling, storage, and disposal of the product.
DownloadProduct Specification (PS)
The PS provides a comprehensive breakdown of the product’s properties, including chemical composition, physical state, purity, and storage requirements. It also details acceptable quality ranges and the product's intended applications.
DownloadCertificates of Analysis (COA)
Search for Certificates of Analysis (COA) by entering the products Lot Number. Lot and Batch Numbers can be found on a product’s label following the words ‘Lot’ or ‘Batch’.
Número de catálogo
Número de lote/lote
Certificates Of Origin (COO)
This COO confirms the country where the product was manufactured, and also details the materials and components used in it and whether it is derived from natural, synthetic, or other specific sources. This certificate may be required for customs, trade, and regulatory compliance.
