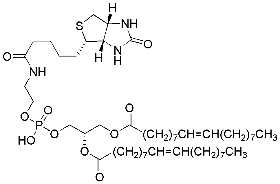
1,2-Dioleoyl-sn-glycero-3-phosphatidylethanolamino (+)-biotin is widely utilized in research focused on:
- Drug Delivery Systems: This compound is often employed in the formulation of liposomes, enhancing the delivery of therapeutic agents directly to target cells, which improves treatment efficacy and reduces side effects.
- Bioconjugation: It serves as a valuable tool in bioconjugation techniques, allowing researchers to attach biotin to various biomolecules, facilitating the study of protein interactions and cellular processes.
- Cell Membrane Studies: The compound is used in the creation of model membranes for studying lipid behavior and membrane dynamics, providing insights into cell signaling and membrane protein function.
- Diagnostics: In diagnostic applications, it aids in the development of biosensors and assays, where biotin's strong affinity for streptavidin is leveraged to detect specific biomolecules with high sensitivity.
- Vaccine Development: This chemical plays a role in vaccine formulations, particularly in the design of adjuvants that enhance immune responses, contributing to more effective vaccines.
General Information
Properties
Safety and Regulations
Applications
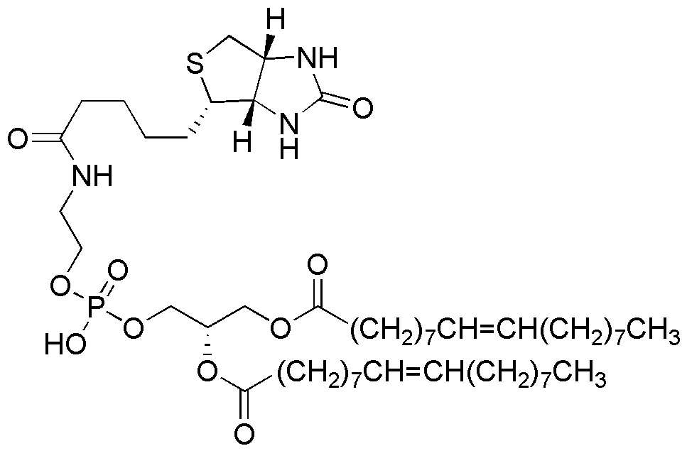
1,2-Dioleoyl-sn-glycero-3-phosphatidylethanolamino (+)-biotin is widely utilized in research focused on:
- Drug Delivery Systems: This compound is often employed in the formulation of liposomes, enhancing the delivery of therapeutic agents directly to target cells, which improves treatment efficacy and reduces side effects.
- Bioconjugation: It serves as a valuable tool in bioconjugation techniques, allowing researchers to attach biotin to various biomolecules, facilitating the study of protein interactions and cellular processes.
- Cell Membrane Studies: The compound is used in the creation of model membranes for studying lipid behavior and membrane dynamics, providing insights into cell signaling and membrane protein function.
- Diagnostics: In diagnostic applications, it aids in the development of biosensors and assays, where biotin's strong affinity for streptavidin is leveraged to detect specific biomolecules with high sensitivity.
- Vaccine Development: This chemical plays a role in vaccine formulations, particularly in the design of adjuvants that enhance immune responses, contributing to more effective vaccines.
Documents
Safety Data Sheets (SDS)
The SDS provides comprehensive safety information on handling, storage, and disposal of the product.
Product Specification (PS)
The PS provides a comprehensive breakdown of the product’s properties, including chemical composition, physical state, purity, and storage requirements. It also details acceptable quality ranges and the product's intended applications.
Certificates of Analysis (COA)
Search for Certificates of Analysis (COA) by entering the products Lot Number. Lot and Batch Numbers can be found on a product’s label following the words ‘Lot’ or ‘Batch’.
Número de catálogo
Número de lote/lote
Certificates Of Origin (COO)
This COO confirms the country where the product was manufactured, and also details the materials and components used in it and whether it is derived from natural, synthetic, or other specific sources. This certificate may be required for customs, trade, and regulatory compliance.
Número de catálogo
Número de lote/lote
Safety Data Sheets (SDS)
The SDS provides comprehensive safety information on handling, storage, and disposal of the product.
DownloadProduct Specification (PS)
The PS provides a comprehensive breakdown of the product’s properties, including chemical composition, physical state, purity, and storage requirements. It also details acceptable quality ranges and the product's intended applications.
DownloadCertificates of Analysis (COA)
Search for Certificates of Analysis (COA) by entering the products Lot Number. Lot and Batch Numbers can be found on a product’s label following the words ‘Lot’ or ‘Batch’.
Número de catálogo
Número de lote/lote
Certificates Of Origin (COO)
This COO confirms the country where the product was manufactured, and also details the materials and components used in it and whether it is derived from natural, synthetic, or other specific sources. This certificate may be required for customs, trade, and regulatory compliance.
