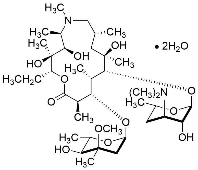
Azithromycin dihydrate is widely utilized in research focused on:
- Antibiotic Treatments: Commonly prescribed for bacterial infections, it effectively treats respiratory infections, skin infections, and sexually transmitted diseases, making it a staple in healthcare.
- Pharmaceutical Research: Used in studies to develop new formulations and delivery methods, researchers explore its pharmacokinetics and pharmacodynamics to enhance efficacy and reduce side effects.
- Veterinary Medicine: Applied in treating infections in animals, it helps veterinarians manage diseases in pets and livestock, ensuring animal health and productivity.
- Public Health Initiatives: Employed in mass treatment programs for diseases like trachoma and other infections in developing regions, contributing to improved community health outcomes.
- Combination Therapies: Investigated for use alongside other antibiotics to combat resistant strains of bacteria, offering a strategic advantage in managing complex infections.
General Information
Properties
Safety and Regulations
Applications
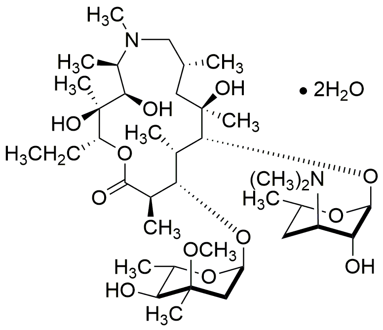
Azithromycin dihydrate is widely utilized in research focused on:
- Antibiotic Treatments: Commonly prescribed for bacterial infections, it effectively treats respiratory infections, skin infections, and sexually transmitted diseases, making it a staple in healthcare.
- Pharmaceutical Research: Used in studies to develop new formulations and delivery methods, researchers explore its pharmacokinetics and pharmacodynamics to enhance efficacy and reduce side effects.
- Veterinary Medicine: Applied in treating infections in animals, it helps veterinarians manage diseases in pets and livestock, ensuring animal health and productivity.
- Public Health Initiatives: Employed in mass treatment programs for diseases like trachoma and other infections in developing regions, contributing to improved community health outcomes.
- Combination Therapies: Investigated for use alongside other antibiotics to combat resistant strains of bacteria, offering a strategic advantage in managing complex infections.
Documents
Safety Data Sheets (SDS)
The SDS provides comprehensive safety information on handling, storage, and disposal of the product.
Product Specification (PS)
The PS provides a comprehensive breakdown of the product’s properties, including chemical composition, physical state, purity, and storage requirements. It also details acceptable quality ranges and the product's intended applications.
Certificates of Analysis (COA)
Search for Certificates of Analysis (COA) by entering the products Lot Number. Lot and Batch Numbers can be found on a product’s label following the words ‘Lot’ or ‘Batch’.
Número de catálogo
Número de lote/lote
Certificates Of Origin (COO)
This COO confirms the country where the product was manufactured, and also details the materials and components used in it and whether it is derived from natural, synthetic, or other specific sources. This certificate may be required for customs, trade, and regulatory compliance.
Número de catálogo
Número de lote/lote
Safety Data Sheets (SDS)
The SDS provides comprehensive safety information on handling, storage, and disposal of the product.
DownloadProduct Specification (PS)
The PS provides a comprehensive breakdown of the product’s properties, including chemical composition, physical state, purity, and storage requirements. It also details acceptable quality ranges and the product's intended applications.
DownloadCertificates of Analysis (COA)
Search for Certificates of Analysis (COA) by entering the products Lot Number. Lot and Batch Numbers can be found on a product’s label following the words ‘Lot’ or ‘Batch’.
Número de catálogo
Número de lote/lote
Certificates Of Origin (COO)
This COO confirms the country where the product was manufactured, and also details the materials and components used in it and whether it is derived from natural, synthetic, or other specific sources. This certificate may be required for customs, trade, and regulatory compliance.
