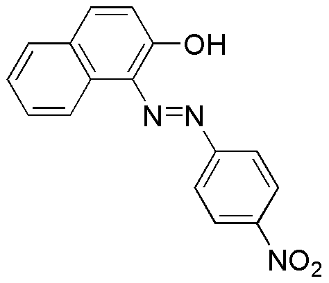
Para Red is widely utilized in research focused on:
- Dyes and Pigments: Commonly used in the textile industry, Para Red provides vibrant red coloration to fabrics, enhancing their aesthetic appeal and marketability.
- Analytical Chemistry: Employed as a colorimetric reagent, it assists in the detection and quantification of various analytes in laboratory settings, making it valuable for researchers in quality control.
- Food Industry: Utilized as a food dye, it offers a visually appealing red hue to products, helping to attract consumers while adhering to regulatory standards.
- Biological Research: Used in staining techniques, Para Red aids in visualizing cellular structures under a microscope, facilitating studies in cell biology and histology.
- Art and Craft: Favored by artists for its bright color, it is used in various art supplies, allowing for creative expression in painting and crafting projects.
General Information
Properties
Safety and Regulations
Applications
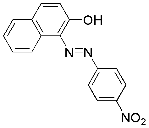
Para Red is widely utilized in research focused on:
- Dyes and Pigments: Commonly used in the textile industry, Para Red provides vibrant red coloration to fabrics, enhancing their aesthetic appeal and marketability.
- Analytical Chemistry: Employed as a colorimetric reagent, it assists in the detection and quantification of various analytes in laboratory settings, making it valuable for researchers in quality control.
- Food Industry: Utilized as a food dye, it offers a visually appealing red hue to products, helping to attract consumers while adhering to regulatory standards.
- Biological Research: Used in staining techniques, Para Red aids in visualizing cellular structures under a microscope, facilitating studies in cell biology and histology.
- Art and Craft: Favored by artists for its bright color, it is used in various art supplies, allowing for creative expression in painting and crafting projects.
Documents
Safety Data Sheets (SDS)
The SDS provides comprehensive safety information on handling, storage, and disposal of the product.
Product Specification (PS)
The PS provides a comprehensive breakdown of the product’s properties, including chemical composition, physical state, purity, and storage requirements. It also details acceptable quality ranges and the product's intended applications.
Certificates of Analysis (COA)
Search for Certificates of Analysis (COA) by entering the products Lot Number. Lot and Batch Numbers can be found on a product’s label following the words ‘Lot’ or ‘Batch’.
Numéro de catalogue
Numéro de lot/série
Certificates Of Origin (COO)
This COO confirms the country where the product was manufactured, and also details the materials and components used in it and whether it is derived from natural, synthetic, or other specific sources. This certificate may be required for customs, trade, and regulatory compliance.
Numéro de catalogue
Numéro de lot/série
Safety Data Sheets (SDS)
The SDS provides comprehensive safety information on handling, storage, and disposal of the product.
DownloadProduct Specification (PS)
The PS provides a comprehensive breakdown of the product’s properties, including chemical composition, physical state, purity, and storage requirements. It also details acceptable quality ranges and the product's intended applications.
DownloadCertificates of Analysis (COA)
Search for Certificates of Analysis (COA) by entering the products Lot Number. Lot and Batch Numbers can be found on a product’s label following the words ‘Lot’ or ‘Batch’.
Numéro de catalogue
Numéro de lot/série
Certificates Of Origin (COO)
This COO confirms the country where the product was manufactured, and also details the materials and components used in it and whether it is derived from natural, synthetic, or other specific sources. This certificate may be required for customs, trade, and regulatory compliance.
