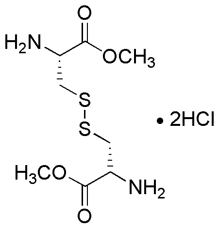
L-Cystine bis(methyl ester) dihydrochloride is widely utilized in research focused on:
- Pharmaceutical Development: This compound serves as a precursor in the synthesis of various pharmaceuticals, particularly those targeting oxidative stress and cellular protection.
- Antioxidant Research: It is used in studies investigating the role of antioxidants in preventing cellular damage, making it valuable for researchers in the fields of biochemistry and molecular biology.
- Cosmetic Formulations: The compound is incorporated into skincare products due to its potential skin-repairing properties, appealing to the cosmetic industry looking for effective anti-aging ingredients.
- Food Industry: It can be explored as a food additive for enhancing nutritional profiles, particularly in products aimed at improving health through amino acid supplementation.
- Biochemical Assays: Researchers utilize it in various assays to measure enzyme activity and protein interactions, contributing to advancements in biotechnology and drug discovery.
General Information
Properties
Safety and Regulations
Applications
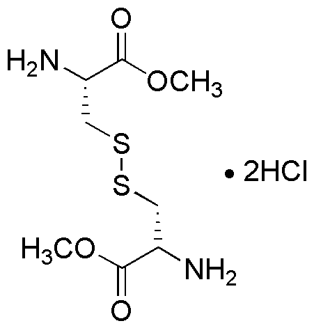
L-Cystine bis(methyl ester) dihydrochloride is widely utilized in research focused on:
- Pharmaceutical Development: This compound serves as a precursor in the synthesis of various pharmaceuticals, particularly those targeting oxidative stress and cellular protection.
- Antioxidant Research: It is used in studies investigating the role of antioxidants in preventing cellular damage, making it valuable for researchers in the fields of biochemistry and molecular biology.
- Cosmetic Formulations: The compound is incorporated into skincare products due to its potential skin-repairing properties, appealing to the cosmetic industry looking for effective anti-aging ingredients.
- Food Industry: It can be explored as a food additive for enhancing nutritional profiles, particularly in products aimed at improving health through amino acid supplementation.
- Biochemical Assays: Researchers utilize it in various assays to measure enzyme activity and protein interactions, contributing to advancements in biotechnology and drug discovery.
Documents
Safety Data Sheets (SDS)
The SDS provides comprehensive safety information on handling, storage, and disposal of the product.
Product Specification (PS)
The PS provides a comprehensive breakdown of the product’s properties, including chemical composition, physical state, purity, and storage requirements. It also details acceptable quality ranges and the product's intended applications.
Certificates of Analysis (COA)
Search for Certificates of Analysis (COA) by entering the products Lot Number. Lot and Batch Numbers can be found on a product’s label following the words ‘Lot’ or ‘Batch’.
*Catalog Number
*Lot Number
Certificates Of Origin (COO)
This COO confirms the country where the product was manufactured, and also details the materials and components used in it and whether it is derived from natural, synthetic, or other specific sources. This certificate may be required for customs, trade, and regulatory compliance.
*Catalog Number
*Lot Number
Safety Data Sheets (SDS)
The SDS provides comprehensive safety information on handling, storage, and disposal of the product.
DownloadProduct Specification (PS)
The PS provides a comprehensive breakdown of the product’s properties, including chemical composition, physical state, purity, and storage requirements. It also details acceptable quality ranges and the product's intended applications.
DownloadCertificates of Analysis (COA)
Search for Certificates of Analysis (COA) by entering the products Lot Number. Lot and Batch Numbers can be found on a product’s label following the words ‘Lot’ or ‘Batch’.
*Catalog Number
*Lot Number
Certificates Of Origin (COO)
This COO confirms the country where the product was manufactured, and also details the materials and components used in it and whether it is derived from natural, synthetic, or other specific sources. This certificate may be required for customs, trade, and regulatory compliance.
