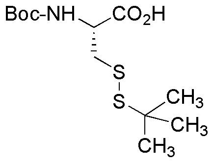
Boc-S-tert-butylthio-L-cysteine is widely utilized in research focused on:
- Peptide Synthesis: This compound serves as a protecting group in the synthesis of peptides, allowing for selective reactions without interfering with other functional groups.
- Drug Development: It is used in the design of novel pharmaceuticals, particularly in creating compounds that target specific biological pathways, enhancing therapeutic efficacy.
- Bioconjugation: The chemical is valuable in bioconjugation processes, where it helps attach biomolecules to surfaces or other molecules, improving drug delivery systems.
- Antioxidant Research: Researchers explore its properties in developing antioxidants, which can protect cells from oxidative stress, relevant in various health applications.
- Analytical Chemistry: It is employed in analytical methods to study protein interactions and modifications, providing insights into biochemical processes.
General Information
Properties
Safety and Regulations
Applications
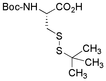
Boc-S-tert-butylthio-L-cysteine is widely utilized in research focused on:
- Peptide Synthesis: This compound serves as a protecting group in the synthesis of peptides, allowing for selective reactions without interfering with other functional groups.
- Drug Development: It is used in the design of novel pharmaceuticals, particularly in creating compounds that target specific biological pathways, enhancing therapeutic efficacy.
- Bioconjugation: The chemical is valuable in bioconjugation processes, where it helps attach biomolecules to surfaces or other molecules, improving drug delivery systems.
- Antioxidant Research: Researchers explore its properties in developing antioxidants, which can protect cells from oxidative stress, relevant in various health applications.
- Analytical Chemistry: It is employed in analytical methods to study protein interactions and modifications, providing insights into biochemical processes.
Documents
Safety Data Sheets (SDS)
The SDS provides comprehensive safety information on handling, storage, and disposal of the product.
Product Specification (PS)
The PS provides a comprehensive breakdown of the product’s properties, including chemical composition, physical state, purity, and storage requirements. It also details acceptable quality ranges and the product's intended applications.
Certificates of Analysis (COA)
Search for Certificates of Analysis (COA) by entering the products Lot Number. Lot and Batch Numbers can be found on a product’s label following the words ‘Lot’ or ‘Batch’.
*Catalog Number
*Lot Number
Certificates Of Origin (COO)
This COO confirms the country where the product was manufactured, and also details the materials and components used in it and whether it is derived from natural, synthetic, or other specific sources. This certificate may be required for customs, trade, and regulatory compliance.
*Catalog Number
*Lot Number
Safety Data Sheets (SDS)
The SDS provides comprehensive safety information on handling, storage, and disposal of the product.
DownloadProduct Specification (PS)
The PS provides a comprehensive breakdown of the product’s properties, including chemical composition, physical state, purity, and storage requirements. It also details acceptable quality ranges and the product's intended applications.
DownloadCertificates of Analysis (COA)
Search for Certificates of Analysis (COA) by entering the products Lot Number. Lot and Batch Numbers can be found on a product’s label following the words ‘Lot’ or ‘Batch’.
*Catalog Number
*Lot Number
Certificates Of Origin (COO)
This COO confirms the country where the product was manufactured, and also details the materials and components used in it and whether it is derived from natural, synthetic, or other specific sources. This certificate may be required for customs, trade, and regulatory compliance.
