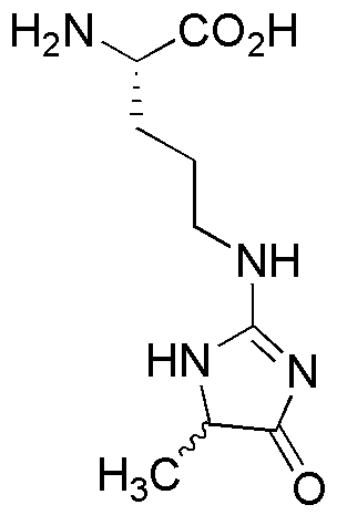
(2S)-2-Amino-5-(5-methyl-4-oxo-4,5-dihydro-1H-imidazol-2-ylamino)pentanoic acid is widely utilized in research focused on:
- Pharmaceutical Development: This compound plays a crucial role in the synthesis of novel drugs, particularly in developing treatments for metabolic disorders due to its amino acid structure.
- Biochemical Research: It is used as a building block in peptide synthesis, allowing researchers to create specific peptides for studying protein interactions and functions.
- Nutrition Science: The compound is explored for its potential benefits in dietary supplements aimed at enhancing muscle growth and recovery, appealing to fitness enthusiasts.
- Biotechnology: It serves as a key intermediate in the production of biologically active compounds, which can be utilized in various biotechnological applications.
- Analytical Chemistry: Researchers employ this compound in developing analytical methods for detecting and quantifying amino acids in various samples, contributing to food safety and quality control.
General Information
Properties
Safety and Regulations
Applications
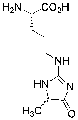
(2S)-2-Amino-5-(5-methyl-4-oxo-4,5-dihydro-1H-imidazol-2-ylamino)pentanoic acid is widely utilized in research focused on:
- Pharmaceutical Development: This compound plays a crucial role in the synthesis of novel drugs, particularly in developing treatments for metabolic disorders due to its amino acid structure.
- Biochemical Research: It is used as a building block in peptide synthesis, allowing researchers to create specific peptides for studying protein interactions and functions.
- Nutrition Science: The compound is explored for its potential benefits in dietary supplements aimed at enhancing muscle growth and recovery, appealing to fitness enthusiasts.
- Biotechnology: It serves as a key intermediate in the production of biologically active compounds, which can be utilized in various biotechnological applications.
- Analytical Chemistry: Researchers employ this compound in developing analytical methods for detecting and quantifying amino acids in various samples, contributing to food safety and quality control.
Documents
Safety Data Sheets (SDS)
The SDS provides comprehensive safety information on handling, storage, and disposal of the product.
Product Specification (PS)
The PS provides a comprehensive breakdown of the product’s properties, including chemical composition, physical state, purity, and storage requirements. It also details acceptable quality ranges and the product's intended applications.
Certificates of Analysis (COA)
Search for Certificates of Analysis (COA) by entering the products Lot Number. Lot and Batch Numbers can be found on a product’s label following the words ‘Lot’ or ‘Batch’.
*Catalog Number
*Lot Number
Certificates Of Origin (COO)
This COO confirms the country where the product was manufactured, and also details the materials and components used in it and whether it is derived from natural, synthetic, or other specific sources. This certificate may be required for customs, trade, and regulatory compliance.
*Catalog Number
*Lot Number
Safety Data Sheets (SDS)
The SDS provides comprehensive safety information on handling, storage, and disposal of the product.
DownloadProduct Specification (PS)
The PS provides a comprehensive breakdown of the product’s properties, including chemical composition, physical state, purity, and storage requirements. It also details acceptable quality ranges and the product's intended applications.
DownloadCertificates of Analysis (COA)
Search for Certificates of Analysis (COA) by entering the products Lot Number. Lot and Batch Numbers can be found on a product’s label following the words ‘Lot’ or ‘Batch’.
*Catalog Number
*Lot Number
Certificates Of Origin (COO)
This COO confirms the country where the product was manufactured, and also details the materials and components used in it and whether it is derived from natural, synthetic, or other specific sources. This certificate may be required for customs, trade, and regulatory compliance.
