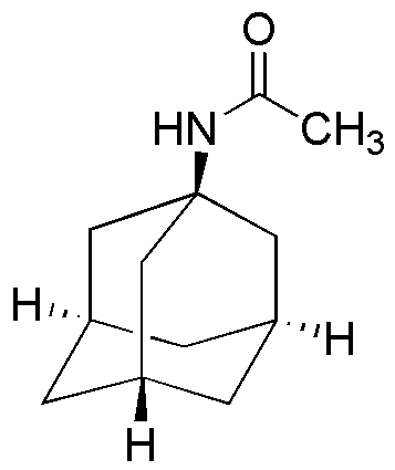
1-Acetamidoadamantane is widely utilized in research focused on:
- Pharmaceutical Development: This compound serves as a building block in the synthesis of potential drug candidates, particularly in the development of antiviral and anticancer agents.
- Material Science: It is used to create specialized polymers and coatings, enhancing the mechanical properties and thermal stability of materials.
- Biochemical Research: The compound acts as a ligand in various biochemical assays, aiding in the study of enzyme interactions and protein binding.
- Neuroscience: Researchers explore its effects on neurotransmitter systems, which may lead to advancements in treatments for neurological disorders.
- Organic Synthesis: It is a valuable intermediate in organic synthesis, allowing chemists to create complex molecules more efficiently compared to traditional methods.
General Information
Properties
Safety and Regulations
Applications
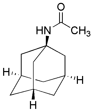
1-Acetamidoadamantane is widely utilized in research focused on:
- Pharmaceutical Development: This compound serves as a building block in the synthesis of potential drug candidates, particularly in the development of antiviral and anticancer agents.
- Material Science: It is used to create specialized polymers and coatings, enhancing the mechanical properties and thermal stability of materials.
- Biochemical Research: The compound acts as a ligand in various biochemical assays, aiding in the study of enzyme interactions and protein binding.
- Neuroscience: Researchers explore its effects on neurotransmitter systems, which may lead to advancements in treatments for neurological disorders.
- Organic Synthesis: It is a valuable intermediate in organic synthesis, allowing chemists to create complex molecules more efficiently compared to traditional methods.
Documents
Safety Data Sheets (SDS)
The SDS provides comprehensive safety information on handling, storage, and disposal of the product.
Product Specification (PS)
The PS provides a comprehensive breakdown of the product’s properties, including chemical composition, physical state, purity, and storage requirements. It also details acceptable quality ranges and the product's intended applications.
Certificates of Analysis (COA)
Search for Certificates of Analysis (COA) by entering the products Lot Number. Lot and Batch Numbers can be found on a product’s label following the words ‘Lot’ or ‘Batch’.
*Catalog Number
*Lot Number
Certificates Of Origin (COO)
This COO confirms the country where the product was manufactured, and also details the materials and components used in it and whether it is derived from natural, synthetic, or other specific sources. This certificate may be required for customs, trade, and regulatory compliance.
*Catalog Number
*Lot Number
Safety Data Sheets (SDS)
The SDS provides comprehensive safety information on handling, storage, and disposal of the product.
DownloadProduct Specification (PS)
The PS provides a comprehensive breakdown of the product’s properties, including chemical composition, physical state, purity, and storage requirements. It also details acceptable quality ranges and the product's intended applications.
DownloadCertificates of Analysis (COA)
Search for Certificates of Analysis (COA) by entering the products Lot Number. Lot and Batch Numbers can be found on a product’s label following the words ‘Lot’ or ‘Batch’.
*Catalog Number
*Lot Number
Certificates Of Origin (COO)
This COO confirms the country where the product was manufactured, and also details the materials and components used in it and whether it is derived from natural, synthetic, or other specific sources. This certificate may be required for customs, trade, and regulatory compliance.
