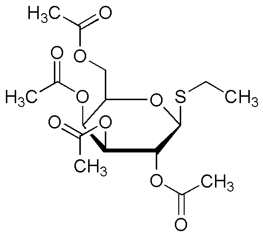
Ethyl 2,3,4,6-tetra-O-acetyl-1-thio-b-D-galactopyranoside is widely utilized in research focused on:
- Glycosylation Reactions: This compound serves as a glycosyl donor in synthetic organic chemistry, enabling the formation of glycosidic bonds. This is particularly useful in the development of complex carbohydrates and glycoconjugates.
- Pharmaceutical Development: Its unique structure allows for the modification of drug molecules, enhancing their bioavailability and efficacy. This is crucial in the design of targeted therapies in medicine.
- Biotechnology Applications: Employed in the production of glycoproteins and other biomolecules, it aids in the development of vaccines and therapeutic proteins, which are essential in modern biopharmaceuticals.
- Food Industry: Used as a flavoring agent or in the formulation of food additives, it helps in improving the taste and stability of various food products, catering to consumer preferences.
- Research in Carbohydrate Chemistry: This compound is a valuable tool for researchers studying carbohydrate structures and functions, providing insights into their roles in biological systems and potential applications in health sciences.
General Information
Properties
Safety and Regulations
Applications
Ethyl 2,3,4,6-tetra-O-acetyl-1-thio-b-D-galactopyranoside is widely utilized in research focused on:
- Glycosylation Reactions: This compound serves as a glycosyl donor in synthetic organic chemistry, enabling the formation of glycosidic bonds. This is particularly useful in the development of complex carbohydrates and glycoconjugates.
- Pharmaceutical Development: Its unique structure allows for the modification of drug molecules, enhancing their bioavailability and efficacy. This is crucial in the design of targeted therapies in medicine.
- Biotechnology Applications: Employed in the production of glycoproteins and other biomolecules, it aids in the development of vaccines and therapeutic proteins, which are essential in modern biopharmaceuticals.
- Food Industry: Used as a flavoring agent or in the formulation of food additives, it helps in improving the taste and stability of various food products, catering to consumer preferences.
- Research in Carbohydrate Chemistry: This compound is a valuable tool for researchers studying carbohydrate structures and functions, providing insights into their roles in biological systems and potential applications in health sciences.
Documents
Safety Data Sheets (SDS)
The SDS provides comprehensive safety information on handling, storage, and disposal of the product.
Product Specification (PS)
The PS provides a comprehensive breakdown of the product’s properties, including chemical composition, physical state, purity, and storage requirements. It also details acceptable quality ranges and the product's intended applications.
Certificates of Analysis (COA)
Search for Certificates of Analysis (COA) by entering the products Lot Number. Lot and Batch Numbers can be found on a product’s label following the words ‘Lot’ or ‘Batch’.
*Catalog Number
*Lot Number
Certificates Of Origin (COO)
This COO confirms the country where the product was manufactured, and also details the materials and components used in it and whether it is derived from natural, synthetic, or other specific sources. This certificate may be required for customs, trade, and regulatory compliance.
*Catalog Number
*Lot Number
Safety Data Sheets (SDS)
The SDS provides comprehensive safety information on handling, storage, and disposal of the product.
DownloadProduct Specification (PS)
The PS provides a comprehensive breakdown of the product’s properties, including chemical composition, physical state, purity, and storage requirements. It also details acceptable quality ranges and the product's intended applications.
DownloadCertificates of Analysis (COA)
Search for Certificates of Analysis (COA) by entering the products Lot Number. Lot and Batch Numbers can be found on a product’s label following the words ‘Lot’ or ‘Batch’.
*Catalog Number
*Lot Number
Certificates Of Origin (COO)
This COO confirms the country where the product was manufactured, and also details the materials and components used in it and whether it is derived from natural, synthetic, or other specific sources. This certificate may be required for customs, trade, and regulatory compliance.
