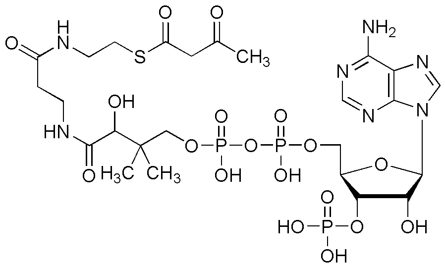
Acetoacetyl coenzyme A is widely utilized in research focused on:
- Metabolic Studies: This compound plays a crucial role in metabolic pathways, particularly in the synthesis of fatty acids and ketone bodies. Researchers use it to understand energy metabolism and its implications in conditions like diabetes.
- Biochemical Research: It serves as a substrate in various enzymatic reactions, allowing scientists to study enzyme kinetics and mechanisms, which is essential for drug development and understanding disease processes.
- Pharmaceutical Development: Acetoacetyl coenzyme A is involved in the synthesis of bioactive compounds, making it valuable in the pharmaceutical industry for developing new medications targeting metabolic disorders.
- Food Industry Applications: Its derivatives are used in flavoring and fragrance formulations, enhancing the sensory properties of food products, which is beneficial for food scientists and manufacturers.
- Biotechnology: In genetic engineering, it is utilized in the production of recombinant proteins, aiding in the development of biopharmaceuticals and therapeutic proteins, which are critical in modern medicine.
General Information
Properties
Safety and Regulations
Applications
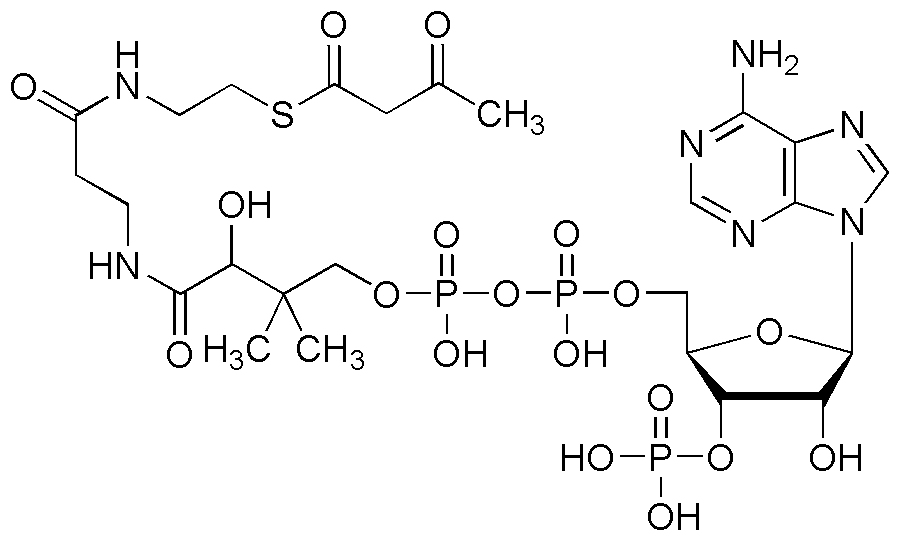
Acetoacetyl coenzyme A is widely utilized in research focused on:
- Metabolic Studies: This compound plays a crucial role in metabolic pathways, particularly in the synthesis of fatty acids and ketone bodies. Researchers use it to understand energy metabolism and its implications in conditions like diabetes.
- Biochemical Research: It serves as a substrate in various enzymatic reactions, allowing scientists to study enzyme kinetics and mechanisms, which is essential for drug development and understanding disease processes.
- Pharmaceutical Development: Acetoacetyl coenzyme A is involved in the synthesis of bioactive compounds, making it valuable in the pharmaceutical industry for developing new medications targeting metabolic disorders.
- Food Industry Applications: Its derivatives are used in flavoring and fragrance formulations, enhancing the sensory properties of food products, which is beneficial for food scientists and manufacturers.
- Biotechnology: In genetic engineering, it is utilized in the production of recombinant proteins, aiding in the development of biopharmaceuticals and therapeutic proteins, which are critical in modern medicine.
Documents
Safety Data Sheets (SDS)
The SDS provides comprehensive safety information on handling, storage, and disposal of the product.
Product Specification (PS)
The PS provides a comprehensive breakdown of the product’s properties, including chemical composition, physical state, purity, and storage requirements. It also details acceptable quality ranges and the product's intended applications.
Certificates of Analysis (COA)
Search for Certificates of Analysis (COA) by entering the products Lot Number. Lot and Batch Numbers can be found on a product’s label following the words ‘Lot’ or ‘Batch’.
*Catalog Number
*Lot Number
Certificates Of Origin (COO)
This COO confirms the country where the product was manufactured, and also details the materials and components used in it and whether it is derived from natural, synthetic, or other specific sources. This certificate may be required for customs, trade, and regulatory compliance.
*Catalog Number
*Lot Number
Safety Data Sheets (SDS)
The SDS provides comprehensive safety information on handling, storage, and disposal of the product.
DownloadProduct Specification (PS)
The PS provides a comprehensive breakdown of the product’s properties, including chemical composition, physical state, purity, and storage requirements. It also details acceptable quality ranges and the product's intended applications.
DownloadCertificates of Analysis (COA)
Search for Certificates of Analysis (COA) by entering the products Lot Number. Lot and Batch Numbers can be found on a product’s label following the words ‘Lot’ or ‘Batch’.
*Catalog Number
*Lot Number
Certificates Of Origin (COO)
This COO confirms the country where the product was manufactured, and also details the materials and components used in it and whether it is derived from natural, synthetic, or other specific sources. This certificate may be required for customs, trade, and regulatory compliance.
