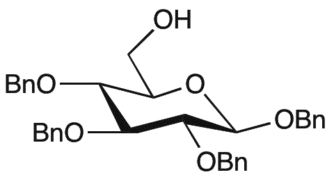
Benzyl 2,3,4-tri-O-benzyl-b-D-glucopyranoside is widely utilized in research focused on:
- Synthesis of Glycosides: This compound serves as a key intermediate in the synthesis of various glycosides, which are important in pharmaceuticals and biochemistry.
- Drug Development: It is used in the development of drug candidates that target specific biological pathways, enhancing the efficacy of therapeutic agents.
- Biochemical Research: Researchers employ it to study carbohydrate-protein interactions, providing insights into cell signaling and recognition processes.
- Food Industry: It can be utilized as a flavoring agent or sweetener in food products, offering a natural alternative to synthetic additives.
- Cosmetic Formulations: The compound is included in cosmetic products for its moisturizing properties, contributing to skin hydration and overall skin health.
General Information
Properties
Safety and Regulations
Applications
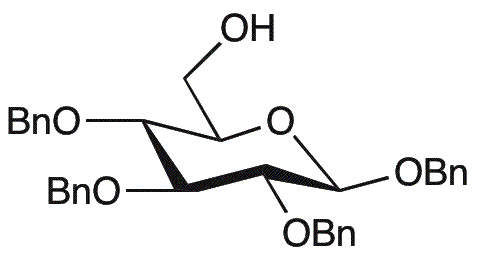
Benzyl 2,3,4-tri-O-benzyl-b-D-glucopyranoside is widely utilized in research focused on:
- Synthesis of Glycosides: This compound serves as a key intermediate in the synthesis of various glycosides, which are important in pharmaceuticals and biochemistry.
- Drug Development: It is used in the development of drug candidates that target specific biological pathways, enhancing the efficacy of therapeutic agents.
- Biochemical Research: Researchers employ it to study carbohydrate-protein interactions, providing insights into cell signaling and recognition processes.
- Food Industry: It can be utilized as a flavoring agent or sweetener in food products, offering a natural alternative to synthetic additives.
- Cosmetic Formulations: The compound is included in cosmetic products for its moisturizing properties, contributing to skin hydration and overall skin health.
Documents
Safety Data Sheets (SDS)
The SDS provides comprehensive safety information on handling, storage, and disposal of the product.
Product Specification (PS)
The PS provides a comprehensive breakdown of the product’s properties, including chemical composition, physical state, purity, and storage requirements. It also details acceptable quality ranges and the product's intended applications.
Certificates of Analysis (COA)
Search for Certificates of Analysis (COA) by entering the products Lot Number. Lot and Batch Numbers can be found on a product’s label following the words ‘Lot’ or ‘Batch’.
*Catalog Number
*Lot Number
Certificates Of Origin (COO)
This COO confirms the country where the product was manufactured, and also details the materials and components used in it and whether it is derived from natural, synthetic, or other specific sources. This certificate may be required for customs, trade, and regulatory compliance.
*Catalog Number
*Lot Number
Safety Data Sheets (SDS)
The SDS provides comprehensive safety information on handling, storage, and disposal of the product.
DownloadProduct Specification (PS)
The PS provides a comprehensive breakdown of the product’s properties, including chemical composition, physical state, purity, and storage requirements. It also details acceptable quality ranges and the product's intended applications.
DownloadCertificates of Analysis (COA)
Search for Certificates of Analysis (COA) by entering the products Lot Number. Lot and Batch Numbers can be found on a product’s label following the words ‘Lot’ or ‘Batch’.
*Catalog Number
*Lot Number
Certificates Of Origin (COO)
This COO confirms the country where the product was manufactured, and also details the materials and components used in it and whether it is derived from natural, synthetic, or other specific sources. This certificate may be required for customs, trade, and regulatory compliance.
