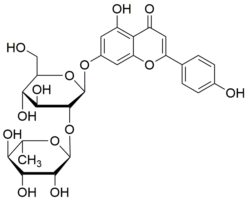
Apigenin 7-O-neohesperidoside is widely utilized in research focused on:
- Pharmaceutical Development: This compound has shown potential in developing natural anti-inflammatory and antioxidant medications, making it valuable in the pharmaceutical industry for creating safer alternatives to synthetic drugs.
- Cosmetic Formulations: Its antioxidant properties make it an excellent ingredient in skincare products, helping to protect the skin from oxidative stress and promoting a youthful appearance.
- Food and Beverage Industry: Used as a natural flavoring agent and preservative, it enhances the nutritional profile of food products while providing health benefits, appealing to health-conscious consumers.
- Nutraceuticals: This compound is incorporated into dietary supplements aimed at improving overall health, particularly for its potential benefits in reducing the risk of chronic diseases.
- Research on Plant-Based Compounds: It serves as a model compound in studies investigating the health benefits of flavonoids, aiding researchers in understanding the mechanisms of action for plant-derived substances.
General Information
Properties
Safety and Regulations
Applications
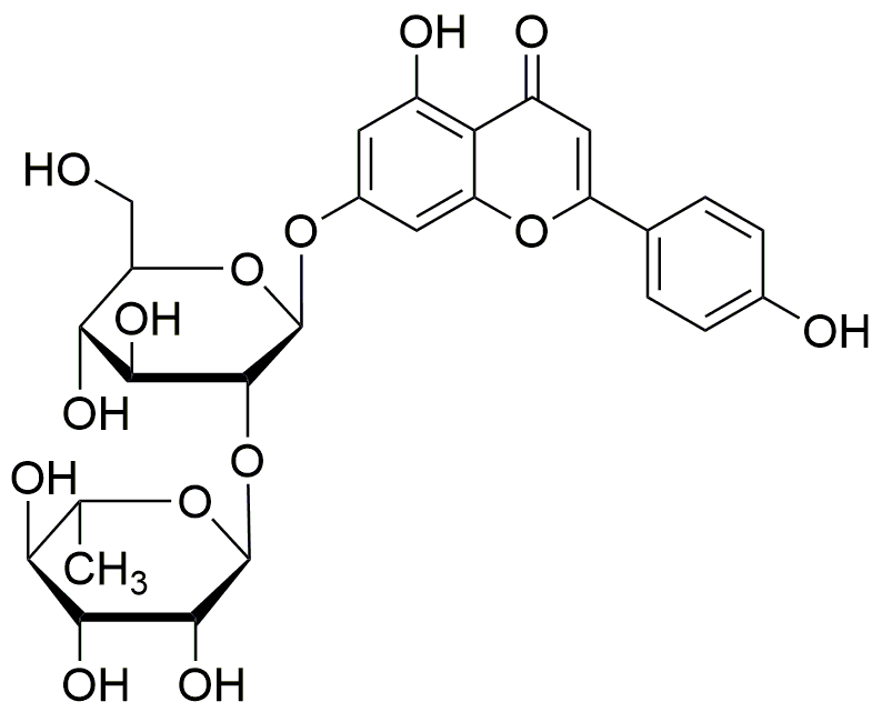
Apigenin 7-O-neohesperidoside is widely utilized in research focused on:
- Pharmaceutical Development: This compound has shown potential in developing natural anti-inflammatory and antioxidant medications, making it valuable in the pharmaceutical industry for creating safer alternatives to synthetic drugs.
- Cosmetic Formulations: Its antioxidant properties make it an excellent ingredient in skincare products, helping to protect the skin from oxidative stress and promoting a youthful appearance.
- Food and Beverage Industry: Used as a natural flavoring agent and preservative, it enhances the nutritional profile of food products while providing health benefits, appealing to health-conscious consumers.
- Nutraceuticals: This compound is incorporated into dietary supplements aimed at improving overall health, particularly for its potential benefits in reducing the risk of chronic diseases.
- Research on Plant-Based Compounds: It serves as a model compound in studies investigating the health benefits of flavonoids, aiding researchers in understanding the mechanisms of action for plant-derived substances.
Documents
Safety Data Sheets (SDS)
The SDS provides comprehensive safety information on handling, storage, and disposal of the product.
Product Specification (PS)
The PS provides a comprehensive breakdown of the product’s properties, including chemical composition, physical state, purity, and storage requirements. It also details acceptable quality ranges and the product's intended applications.
Certificates of Analysis (COA)
Search for Certificates of Analysis (COA) by entering the products Lot Number. Lot and Batch Numbers can be found on a product’s label following the words ‘Lot’ or ‘Batch’.
*Catalog Number
*Lot Number
Certificates Of Origin (COO)
This COO confirms the country where the product was manufactured, and also details the materials and components used in it and whether it is derived from natural, synthetic, or other specific sources. This certificate may be required for customs, trade, and regulatory compliance.
*Catalog Number
*Lot Number
Safety Data Sheets (SDS)
The SDS provides comprehensive safety information on handling, storage, and disposal of the product.
DownloadProduct Specification (PS)
The PS provides a comprehensive breakdown of the product’s properties, including chemical composition, physical state, purity, and storage requirements. It also details acceptable quality ranges and the product's intended applications.
DownloadCertificates of Analysis (COA)
Search for Certificates of Analysis (COA) by entering the products Lot Number. Lot and Batch Numbers can be found on a product’s label following the words ‘Lot’ or ‘Batch’.
*Catalog Number
*Lot Number
Certificates Of Origin (COO)
This COO confirms the country where the product was manufactured, and also details the materials and components used in it and whether it is derived from natural, synthetic, or other specific sources. This certificate may be required for customs, trade, and regulatory compliance.
