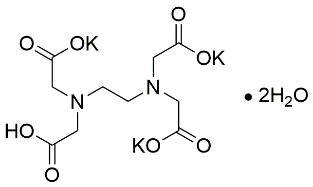
Ethylenediaminetetraacetic acid tripotassium salt dihydrate is widely utilized in research focused on:
- Water Treatment: This compound acts as a chelating agent, effectively binding to metal ions in water, which helps in removing impurities and enhancing water quality for both industrial and municipal applications.
- Food Preservation: It is used in the food industry to prevent spoilage by binding metal ions that can catalyze oxidation, thus extending the shelf life of various food products.
- Pharmaceuticals: In medicine, it serves as a stabilizer in drug formulations, ensuring the efficacy and safety of active ingredients by preventing metal ion-induced degradation.
- Agriculture: As a micronutrient chelator, it improves the availability of essential metals in fertilizers, promoting better nutrient uptake in plants and enhancing crop yields.
- Laboratory Research: It is commonly used in biochemical assays and experiments to control metal ion concentrations, facilitating accurate results in various scientific studies.
General Information
Properties
Safety and Regulations
Applications
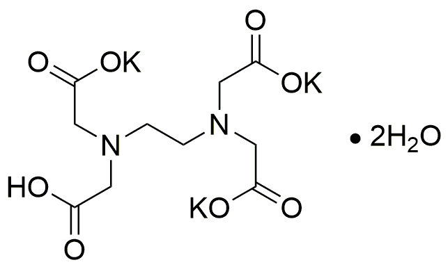
Ethylenediaminetetraacetic acid tripotassium salt dihydrate is widely utilized in research focused on:
- Water Treatment: This compound acts as a chelating agent, effectively binding to metal ions in water, which helps in removing impurities and enhancing water quality for both industrial and municipal applications.
- Food Preservation: It is used in the food industry to prevent spoilage by binding metal ions that can catalyze oxidation, thus extending the shelf life of various food products.
- Pharmaceuticals: In medicine, it serves as a stabilizer in drug formulations, ensuring the efficacy and safety of active ingredients by preventing metal ion-induced degradation.
- Agriculture: As a micronutrient chelator, it improves the availability of essential metals in fertilizers, promoting better nutrient uptake in plants and enhancing crop yields.
- Laboratory Research: It is commonly used in biochemical assays and experiments to control metal ion concentrations, facilitating accurate results in various scientific studies.
Documents
Safety Data Sheets (SDS)
The SDS provides comprehensive safety information on handling, storage, and disposal of the product.
Product Specification (PS)
The PS provides a comprehensive breakdown of the product’s properties, including chemical composition, physical state, purity, and storage requirements. It also details acceptable quality ranges and the product's intended applications.
Certificates of Analysis (COA)
Search for Certificates of Analysis (COA) by entering the products Lot Number. Lot and Batch Numbers can be found on a product’s label following the words ‘Lot’ or ‘Batch’.
*Catalog Number
*Lot Number
Certificates Of Origin (COO)
This COO confirms the country where the product was manufactured, and also details the materials and components used in it and whether it is derived from natural, synthetic, or other specific sources. This certificate may be required for customs, trade, and regulatory compliance.
*Catalog Number
*Lot Number
Safety Data Sheets (SDS)
The SDS provides comprehensive safety information on handling, storage, and disposal of the product.
DownloadProduct Specification (PS)
The PS provides a comprehensive breakdown of the product’s properties, including chemical composition, physical state, purity, and storage requirements. It also details acceptable quality ranges and the product's intended applications.
DownloadCertificates of Analysis (COA)
Search for Certificates of Analysis (COA) by entering the products Lot Number. Lot and Batch Numbers can be found on a product’s label following the words ‘Lot’ or ‘Batch’.
*Catalog Number
*Lot Number
Certificates Of Origin (COO)
This COO confirms the country where the product was manufactured, and also details the materials and components used in it and whether it is derived from natural, synthetic, or other specific sources. This certificate may be required for customs, trade, and regulatory compliance.
