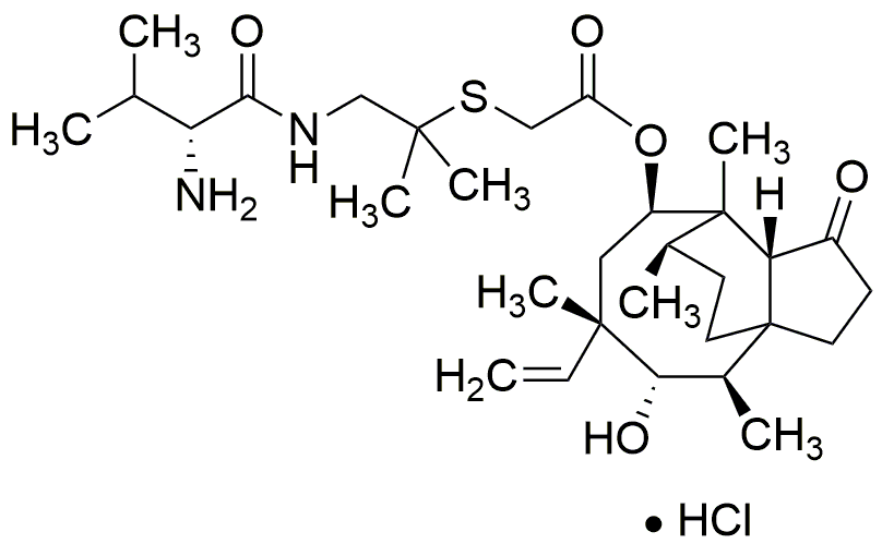
Valnemulin hydrochloride is widely utilized in research focused on:
- Veterinary Medicine: It is primarily used as an antibiotic in livestock, particularly in pigs, to treat and prevent bacterial infections, ensuring healthier animals and improved growth rates.
- Pharmaceutical Development: Researchers study its efficacy and safety profiles, contributing to the development of new veterinary drugs that can combat antibiotic resistance.
- Animal Feed Additives: It is incorporated into animal feed formulations to enhance the overall health of livestock, promoting better feed conversion ratios and reducing the need for more aggressive antibiotics.
- Research on Antimicrobial Resistance: Valnemulin serves as a model compound in studies examining the mechanisms of resistance in bacteria, helping to inform strategies for developing new antibiotics.
- Regulatory Studies: It is used in regulatory toxicology studies to assess the safety of veterinary drugs, ensuring compliance with health standards and regulations.
General Information
Properties
Safety and Regulations
Applications
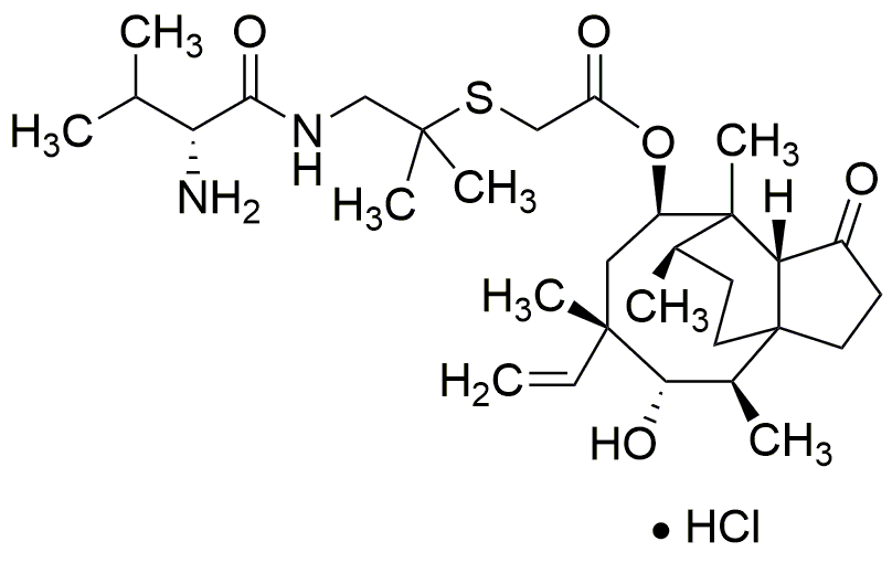
Valnemulin hydrochloride is widely utilized in research focused on:
- Veterinary Medicine: It is primarily used as an antibiotic in livestock, particularly in pigs, to treat and prevent bacterial infections, ensuring healthier animals and improved growth rates.
- Pharmaceutical Development: Researchers study its efficacy and safety profiles, contributing to the development of new veterinary drugs that can combat antibiotic resistance.
- Animal Feed Additives: It is incorporated into animal feed formulations to enhance the overall health of livestock, promoting better feed conversion ratios and reducing the need for more aggressive antibiotics.
- Research on Antimicrobial Resistance: Valnemulin serves as a model compound in studies examining the mechanisms of resistance in bacteria, helping to inform strategies for developing new antibiotics.
- Regulatory Studies: It is used in regulatory toxicology studies to assess the safety of veterinary drugs, ensuring compliance with health standards and regulations.
Documents
Safety Data Sheets (SDS)
The SDS provides comprehensive safety information on handling, storage, and disposal of the product.
Product Specification (PS)
The PS provides a comprehensive breakdown of the product’s properties, including chemical composition, physical state, purity, and storage requirements. It also details acceptable quality ranges and the product's intended applications.
Certificates of Analysis (COA)
Search for Certificates of Analysis (COA) by entering the products Lot Number. Lot and Batch Numbers can be found on a product’s label following the words ‘Lot’ or ‘Batch’.
*Catalog Number
*Lot Number
Certificates Of Origin (COO)
This COO confirms the country where the product was manufactured, and also details the materials and components used in it and whether it is derived from natural, synthetic, or other specific sources. This certificate may be required for customs, trade, and regulatory compliance.
*Catalog Number
*Lot Number
Safety Data Sheets (SDS)
The SDS provides comprehensive safety information on handling, storage, and disposal of the product.
DownloadProduct Specification (PS)
The PS provides a comprehensive breakdown of the product’s properties, including chemical composition, physical state, purity, and storage requirements. It also details acceptable quality ranges and the product's intended applications.
DownloadCertificates of Analysis (COA)
Search for Certificates of Analysis (COA) by entering the products Lot Number. Lot and Batch Numbers can be found on a product’s label following the words ‘Lot’ or ‘Batch’.
*Catalog Number
*Lot Number
Certificates Of Origin (COO)
This COO confirms the country where the product was manufactured, and also details the materials and components used in it and whether it is derived from natural, synthetic, or other specific sources. This certificate may be required for customs, trade, and regulatory compliance.
