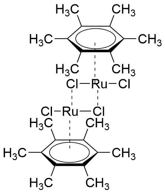
(Hexamethylbenzene)ruthenium(II) dichloride dimer is widely utilized in research focused on:
- Catalysis: This compound serves as a catalyst in various organic reactions, enhancing reaction rates and selectivity, particularly in cross-coupling reactions, which are essential in the synthesis of complex organic molecules.
- Material Science: It is employed in the development of advanced materials, such as conductive polymers and nanocomposites, due to its unique electronic properties, which can improve the performance of electronic devices.
- Pharmaceutical Development: Researchers use this compound in drug discovery processes, particularly in the synthesis of metal-containing pharmaceuticals, which can exhibit enhanced biological activity compared to traditional organic compounds.
- Environmental Chemistry: It plays a role in the study of environmental remediation techniques, helping to develop catalysts that can break down pollutants more efficiently, thus contributing to cleaner technologies.
- Nanotechnology: The compound is utilized in the fabrication of nanostructures, which can be applied in various fields, including electronics and medicine, offering advantages such as improved stability and functionality over similar compounds.
General Information
Properties
Safety and Regulations
Applications
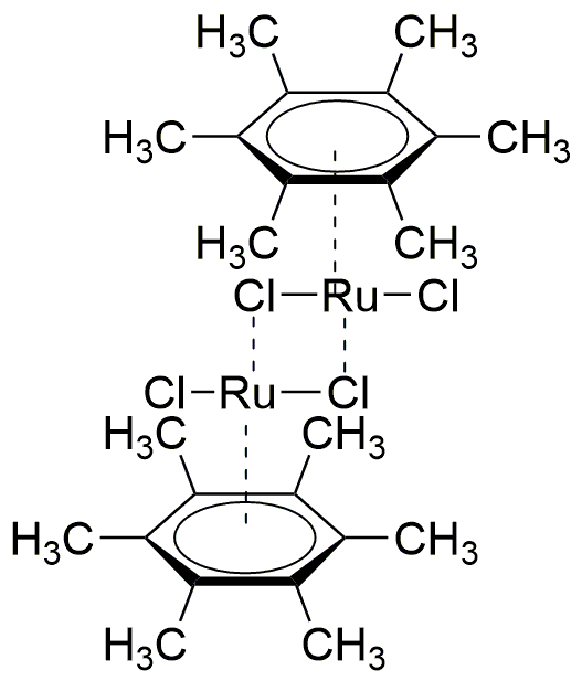
(Hexamethylbenzene)ruthenium(II) dichloride dimer is widely utilized in research focused on:
- Catalysis: This compound serves as a catalyst in various organic reactions, enhancing reaction rates and selectivity, particularly in cross-coupling reactions, which are essential in the synthesis of complex organic molecules.
- Material Science: It is employed in the development of advanced materials, such as conductive polymers and nanocomposites, due to its unique electronic properties, which can improve the performance of electronic devices.
- Pharmaceutical Development: Researchers use this compound in drug discovery processes, particularly in the synthesis of metal-containing pharmaceuticals, which can exhibit enhanced biological activity compared to traditional organic compounds.
- Environmental Chemistry: It plays a role in the study of environmental remediation techniques, helping to develop catalysts that can break down pollutants more efficiently, thus contributing to cleaner technologies.
- Nanotechnology: The compound is utilized in the fabrication of nanostructures, which can be applied in various fields, including electronics and medicine, offering advantages such as improved stability and functionality over similar compounds.
Documents
Safety Data Sheets (SDS)
The SDS provides comprehensive safety information on handling, storage, and disposal of the product.
Product Specification (PS)
The PS provides a comprehensive breakdown of the product’s properties, including chemical composition, physical state, purity, and storage requirements. It also details acceptable quality ranges and the product's intended applications.
Certificates of Analysis (COA)
Search for Certificates of Analysis (COA) by entering the products Lot Number. Lot and Batch Numbers can be found on a product’s label following the words ‘Lot’ or ‘Batch’.
*Catalog Number
*Lot Number
Certificates Of Origin (COO)
This COO confirms the country where the product was manufactured, and also details the materials and components used in it and whether it is derived from natural, synthetic, or other specific sources. This certificate may be required for customs, trade, and regulatory compliance.
*Catalog Number
*Lot Number
Safety Data Sheets (SDS)
The SDS provides comprehensive safety information on handling, storage, and disposal of the product.
DownloadProduct Specification (PS)
The PS provides a comprehensive breakdown of the product’s properties, including chemical composition, physical state, purity, and storage requirements. It also details acceptable quality ranges and the product's intended applications.
DownloadCertificates of Analysis (COA)
Search for Certificates of Analysis (COA) by entering the products Lot Number. Lot and Batch Numbers can be found on a product’s label following the words ‘Lot’ or ‘Batch’.
*Catalog Number
*Lot Number
Certificates Of Origin (COO)
This COO confirms the country where the product was manufactured, and also details the materials and components used in it and whether it is derived from natural, synthetic, or other specific sources. This certificate may be required for customs, trade, and regulatory compliance.
