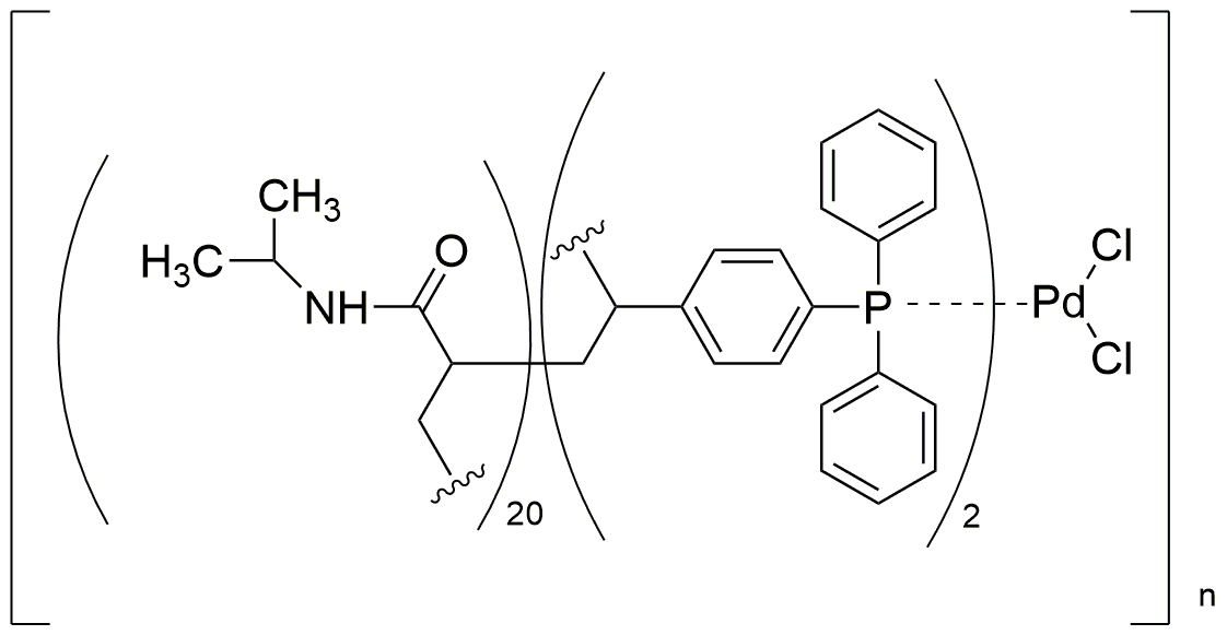
Poly[N-isopropylacrylamide-co-4-(diphenylphosphino)styrene] Palladium(II) dichloride is widely utilized in research focused on:
- Catalysis: This compound serves as an effective catalyst in various organic reactions, enhancing reaction rates and selectivity, particularly in cross-coupling reactions, which are essential in the synthesis of pharmaceuticals and fine chemicals.
- Drug Delivery Systems: Its unique properties allow for the development of smart drug delivery systems that can respond to temperature changes, making it ideal for targeted therapies in cancer treatment.
- Polymer Science: Researchers use this compound to create advanced polymer materials with tailored properties, which can be applied in coatings, adhesives, and biomedical devices.
- Environmental Applications: It can be utilized in the remediation of pollutants, where its catalytic properties help in breaking down hazardous substances in wastewater treatment processes.
- Sensor Technology: The compound is also explored for use in sensors that detect chemical changes, providing real-time monitoring in various industrial processes.
General Information
Properties
Safety and Regulations
Applications
Poly[N-isopropylacrylamide-co-4-(diphenylphosphino)styrene] Palladium(II) dichloride is widely utilized in research focused on:
- Catalysis: This compound serves as an effective catalyst in various organic reactions, enhancing reaction rates and selectivity, particularly in cross-coupling reactions, which are essential in the synthesis of pharmaceuticals and fine chemicals.
- Drug Delivery Systems: Its unique properties allow for the development of smart drug delivery systems that can respond to temperature changes, making it ideal for targeted therapies in cancer treatment.
- Polymer Science: Researchers use this compound to create advanced polymer materials with tailored properties, which can be applied in coatings, adhesives, and biomedical devices.
- Environmental Applications: It can be utilized in the remediation of pollutants, where its catalytic properties help in breaking down hazardous substances in wastewater treatment processes.
- Sensor Technology: The compound is also explored for use in sensors that detect chemical changes, providing real-time monitoring in various industrial processes.
Documents
Safety Data Sheets (SDS)
The SDS provides comprehensive safety information on handling, storage, and disposal of the product.
Product Specification (PS)
The PS provides a comprehensive breakdown of the product’s properties, including chemical composition, physical state, purity, and storage requirements. It also details acceptable quality ranges and the product's intended applications.
Certificates of Analysis (COA)
Search for Certificates of Analysis (COA) by entering the products Lot Number. Lot and Batch Numbers can be found on a product’s label following the words ‘Lot’ or ‘Batch’.
*Catalog Number
*Lot Number
Certificates Of Origin (COO)
This COO confirms the country where the product was manufactured, and also details the materials and components used in it and whether it is derived from natural, synthetic, or other specific sources. This certificate may be required for customs, trade, and regulatory compliance.
*Catalog Number
*Lot Number
Safety Data Sheets (SDS)
The SDS provides comprehensive safety information on handling, storage, and disposal of the product.
DownloadProduct Specification (PS)
The PS provides a comprehensive breakdown of the product’s properties, including chemical composition, physical state, purity, and storage requirements. It also details acceptable quality ranges and the product's intended applications.
DownloadCertificates of Analysis (COA)
Search for Certificates of Analysis (COA) by entering the products Lot Number. Lot and Batch Numbers can be found on a product’s label following the words ‘Lot’ or ‘Batch’.
*Catalog Number
*Lot Number
Certificates Of Origin (COO)
This COO confirms the country where the product was manufactured, and also details the materials and components used in it and whether it is derived from natural, synthetic, or other specific sources. This certificate may be required for customs, trade, and regulatory compliance.
![Poly[N-isopropylacrylamide-co-4-(diphenylphosphino)styrene] Palladium(II) dichloride (ratio, acrylamide:phosphine=20:2)](http://www.chemimpex.com/cdn/shop/files/40715_image.gif?v=1725029004&width=1214)