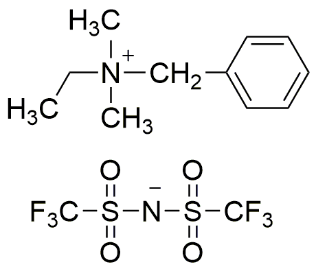
Benzyl(ethyl)dimethylammonium bis(trifluoromethanesulfonyl)imide is widely utilized in research focused on:
- Electrolytes for Energy Storage: This compound serves as an effective electrolyte in advanced battery systems, enhancing performance and stability in lithium-ion batteries.
- Ion-Conductive Membranes: It is used in the development of ion-conductive membranes for fuel cells, improving efficiency and durability in energy conversion systems.
- Pharmaceutical Applications: The compound acts as a stabilizing agent in drug formulations, ensuring consistent delivery and efficacy of active pharmaceutical ingredients.
- Organic Synthesis: It plays a crucial role as a reagent in organic synthesis, facilitating various chemical reactions with high selectivity and yield.
- Surface Coatings: This chemical is applied in creating specialized surface coatings that provide enhanced chemical resistance and durability in industrial applications.
General Information
Properties
Safety and Regulations
Applications
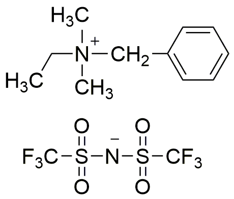
Benzyl(ethyl)dimethylammonium bis(trifluoromethanesulfonyl)imide is widely utilized in research focused on:
- Electrolytes for Energy Storage: This compound serves as an effective electrolyte in advanced battery systems, enhancing performance and stability in lithium-ion batteries.
- Ion-Conductive Membranes: It is used in the development of ion-conductive membranes for fuel cells, improving efficiency and durability in energy conversion systems.
- Pharmaceutical Applications: The compound acts as a stabilizing agent in drug formulations, ensuring consistent delivery and efficacy of active pharmaceutical ingredients.
- Organic Synthesis: It plays a crucial role as a reagent in organic synthesis, facilitating various chemical reactions with high selectivity and yield.
- Surface Coatings: This chemical is applied in creating specialized surface coatings that provide enhanced chemical resistance and durability in industrial applications.
Documents
Safety Data Sheets (SDS)
The SDS provides comprehensive safety information on handling, storage, and disposal of the product.
Product Specification (PS)
The PS provides a comprehensive breakdown of the product’s properties, including chemical composition, physical state, purity, and storage requirements. It also details acceptable quality ranges and the product's intended applications.
Certificates of Analysis (COA)
Search for Certificates of Analysis (COA) by entering the products Lot Number. Lot and Batch Numbers can be found on a product’s label following the words ‘Lot’ or ‘Batch’.
*Catalog Number
*Lot Number
Certificates Of Origin (COO)
This COO confirms the country where the product was manufactured, and also details the materials and components used in it and whether it is derived from natural, synthetic, or other specific sources. This certificate may be required for customs, trade, and regulatory compliance.
*Catalog Number
*Lot Number
Safety Data Sheets (SDS)
The SDS provides comprehensive safety information on handling, storage, and disposal of the product.
DownloadProduct Specification (PS)
The PS provides a comprehensive breakdown of the product’s properties, including chemical composition, physical state, purity, and storage requirements. It also details acceptable quality ranges and the product's intended applications.
DownloadCertificates of Analysis (COA)
Search for Certificates of Analysis (COA) by entering the products Lot Number. Lot and Batch Numbers can be found on a product’s label following the words ‘Lot’ or ‘Batch’.
*Catalog Number
*Lot Number
Certificates Of Origin (COO)
This COO confirms the country where the product was manufactured, and also details the materials and components used in it and whether it is derived from natural, synthetic, or other specific sources. This certificate may be required for customs, trade, and regulatory compliance.
*Catalog Number
*Lot Number
Citations
Sign up and save
Entice customers to sign up for your mailing list with discounts or exclusive offers.
