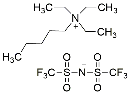
Amyltriethylammonium bis(trifluoromethanesulfonyl)imide is widely utilized in research focused on:
- Electrolytes in Energy Storage: This compound serves as an effective electrolyte in lithium-ion batteries, enhancing their efficiency and lifespan. Its unique properties allow for better ion conductivity compared to traditional electrolytes.
- Green Solvent Applications: It is used as a solvent in various chemical reactions, particularly in green chemistry, due to its low toxicity and environmental impact, making it a preferred choice for sustainable practices.
- Catalysis: The compound acts as a catalyst in organic synthesis, facilitating faster reaction rates and higher yields, which is beneficial for pharmaceutical and fine chemical industries.
- Separation Processes: In the field of separation science, it is employed in liquid-liquid extraction processes, effectively isolating specific compounds from mixtures, which is crucial in chemical manufacturing.
- Electrochemical Sensors: This chemical is used in the development of electrochemical sensors, providing enhanced sensitivity and selectivity for detecting various analytes in environmental monitoring and safety applications.
General Information
Properties
Safety and Regulations
Applications
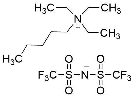
Amyltriethylammonium bis(trifluoromethanesulfonyl)imide is widely utilized in research focused on:
- Electrolytes in Energy Storage: This compound serves as an effective electrolyte in lithium-ion batteries, enhancing their efficiency and lifespan. Its unique properties allow for better ion conductivity compared to traditional electrolytes.
- Green Solvent Applications: It is used as a solvent in various chemical reactions, particularly in green chemistry, due to its low toxicity and environmental impact, making it a preferred choice for sustainable practices.
- Catalysis: The compound acts as a catalyst in organic synthesis, facilitating faster reaction rates and higher yields, which is beneficial for pharmaceutical and fine chemical industries.
- Separation Processes: In the field of separation science, it is employed in liquid-liquid extraction processes, effectively isolating specific compounds from mixtures, which is crucial in chemical manufacturing.
- Electrochemical Sensors: This chemical is used in the development of electrochemical sensors, providing enhanced sensitivity and selectivity for detecting various analytes in environmental monitoring and safety applications.
Documents
Safety Data Sheets (SDS)
The SDS provides comprehensive safety information on handling, storage, and disposal of the product.
Product Specification (PS)
The PS provides a comprehensive breakdown of the product’s properties, including chemical composition, physical state, purity, and storage requirements. It also details acceptable quality ranges and the product's intended applications.
Certificates of Analysis (COA)
Search for Certificates of Analysis (COA) by entering the products Lot Number. Lot and Batch Numbers can be found on a product’s label following the words ‘Lot’ or ‘Batch’.
*Catalog Number
*Lot Number
Certificates Of Origin (COO)
This COO confirms the country where the product was manufactured, and also details the materials and components used in it and whether it is derived from natural, synthetic, or other specific sources. This certificate may be required for customs, trade, and regulatory compliance.
*Catalog Number
*Lot Number
Safety Data Sheets (SDS)
The SDS provides comprehensive safety information on handling, storage, and disposal of the product.
DownloadProduct Specification (PS)
The PS provides a comprehensive breakdown of the product’s properties, including chemical composition, physical state, purity, and storage requirements. It also details acceptable quality ranges and the product's intended applications.
DownloadCertificates of Analysis (COA)
Search for Certificates of Analysis (COA) by entering the products Lot Number. Lot and Batch Numbers can be found on a product’s label following the words ‘Lot’ or ‘Batch’.
*Catalog Number
*Lot Number
Certificates Of Origin (COO)
This COO confirms the country where the product was manufactured, and also details the materials and components used in it and whether it is derived from natural, synthetic, or other specific sources. This certificate may be required for customs, trade, and regulatory compliance.
*Catalog Number
*Lot Number
Citations
Sign up and save
Entice customers to sign up for your mailing list with discounts or exclusive offers.
