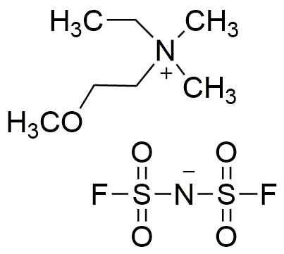
Ethyl(2-methoxyethyl)dimethylammonium bis(fluorosulfonyl)imide is widely utilized in research focused on:
- Electrolytes in Energy Storage: This compound serves as an effective electrolyte in lithium-ion batteries, enhancing their efficiency and lifespan. Its unique properties improve ionic conductivity, making it ideal for high-performance energy storage systems.
- Advanced Materials Development: It is used in the synthesis of advanced polymer materials that exhibit superior thermal and mechanical properties. Researchers in materials science leverage its characteristics to create innovative composites for various applications.
- Pharmaceutical Applications: The compound is explored in drug formulation processes, particularly for enhancing solubility and bioavailability of active pharmaceutical ingredients. This can lead to more effective medications with improved patient outcomes.
- Green Chemistry Initiatives: Its use in environmentally friendly chemical processes aligns with green chemistry principles, promoting sustainable practices in chemical manufacturing and reducing harmful waste.
- Analytical Chemistry: This chemical is utilized as a reagent in various analytical techniques, aiding in the detection and quantification of other compounds. Its reliability and specificity make it a valuable tool for researchers in laboratories.
General Information
Properties
Safety and Regulations
Applications
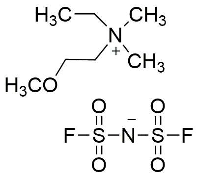
Ethyl(2-methoxyethyl)dimethylammonium bis(fluorosulfonyl)imide is widely utilized in research focused on:
- Electrolytes in Energy Storage: This compound serves as an effective electrolyte in lithium-ion batteries, enhancing their efficiency and lifespan. Its unique properties improve ionic conductivity, making it ideal for high-performance energy storage systems.
- Advanced Materials Development: It is used in the synthesis of advanced polymer materials that exhibit superior thermal and mechanical properties. Researchers in materials science leverage its characteristics to create innovative composites for various applications.
- Pharmaceutical Applications: The compound is explored in drug formulation processes, particularly for enhancing solubility and bioavailability of active pharmaceutical ingredients. This can lead to more effective medications with improved patient outcomes.
- Green Chemistry Initiatives: Its use in environmentally friendly chemical processes aligns with green chemistry principles, promoting sustainable practices in chemical manufacturing and reducing harmful waste.
- Analytical Chemistry: This chemical is utilized as a reagent in various analytical techniques, aiding in the detection and quantification of other compounds. Its reliability and specificity make it a valuable tool for researchers in laboratories.
Documents
Safety Data Sheets (SDS)
The SDS provides comprehensive safety information on handling, storage, and disposal of the product.
Product Specification (PS)
The PS provides a comprehensive breakdown of the product’s properties, including chemical composition, physical state, purity, and storage requirements. It also details acceptable quality ranges and the product's intended applications.
Certificates of Analysis (COA)
Search for Certificates of Analysis (COA) by entering the products Lot Number. Lot and Batch Numbers can be found on a product’s label following the words ‘Lot’ or ‘Batch’.
*Catalog Number
*Lot Number
Certificates Of Origin (COO)
This COO confirms the country where the product was manufactured, and also details the materials and components used in it and whether it is derived from natural, synthetic, or other specific sources. This certificate may be required for customs, trade, and regulatory compliance.
*Catalog Number
*Lot Number
Safety Data Sheets (SDS)
The SDS provides comprehensive safety information on handling, storage, and disposal of the product.
DownloadProduct Specification (PS)
The PS provides a comprehensive breakdown of the product’s properties, including chemical composition, physical state, purity, and storage requirements. It also details acceptable quality ranges and the product's intended applications.
DownloadCertificates of Analysis (COA)
Search for Certificates of Analysis (COA) by entering the products Lot Number. Lot and Batch Numbers can be found on a product’s label following the words ‘Lot’ or ‘Batch’.
*Catalog Number
*Lot Number
Certificates Of Origin (COO)
This COO confirms the country where the product was manufactured, and also details the materials and components used in it and whether it is derived from natural, synthetic, or other specific sources. This certificate may be required for customs, trade, and regulatory compliance.
*Catalog Number
*Lot Number
Citations
Sign up and save
Entice customers to sign up for your mailing list with discounts or exclusive offers.
