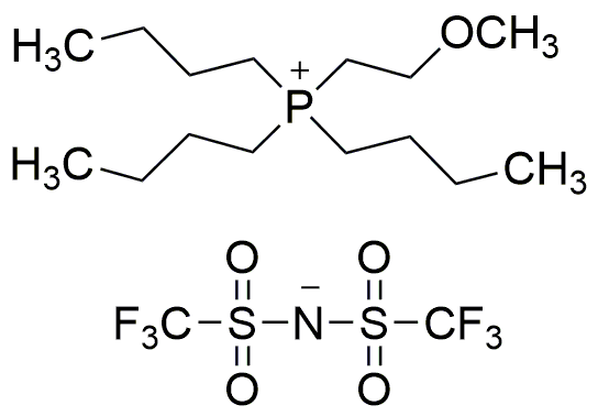
Tributyl(2-methoxyethyl)phosphonium bis(trifluoromethanesulfonyl)imide is widely utilized in research focused on:
- Electrolytes in Energy Storage: This compound serves as an effective electrolyte in lithium-ion batteries, enhancing conductivity and stability, which is crucial for energy storage applications.
- Green Chemistry: It is used in sustainable chemical processes, acting as a solvent or catalyst that minimizes environmental impact compared to traditional solvents.
- Pharmaceutical Development: The compound plays a role in drug formulation, improving solubility and bioavailability of active pharmaceutical ingredients, which is essential for effective medication.
- Ion Exchange Materials: It is applied in the development of ion exchange membranes, particularly in fuel cells, where it aids in efficient ion transport and energy conversion.
- Advanced Material Synthesis: This chemical is utilized in the synthesis of novel materials, including polymers and nanomaterials, providing unique properties that enhance performance in various applications.
General Information
Properties
Safety and Regulations
Applications
Tributyl(2-methoxyethyl)phosphonium bis(trifluoromethanesulfonyl)imide is widely utilized in research focused on:
- Electrolytes in Energy Storage: This compound serves as an effective electrolyte in lithium-ion batteries, enhancing conductivity and stability, which is crucial for energy storage applications.
- Green Chemistry: It is used in sustainable chemical processes, acting as a solvent or catalyst that minimizes environmental impact compared to traditional solvents.
- Pharmaceutical Development: The compound plays a role in drug formulation, improving solubility and bioavailability of active pharmaceutical ingredients, which is essential for effective medication.
- Ion Exchange Materials: It is applied in the development of ion exchange membranes, particularly in fuel cells, where it aids in efficient ion transport and energy conversion.
- Advanced Material Synthesis: This chemical is utilized in the synthesis of novel materials, including polymers and nanomaterials, providing unique properties that enhance performance in various applications.
Documents
Safety Data Sheets (SDS)
The SDS provides comprehensive safety information on handling, storage, and disposal of the product.
Product Specification (PS)
The PS provides a comprehensive breakdown of the product’s properties, including chemical composition, physical state, purity, and storage requirements. It also details acceptable quality ranges and the product's intended applications.
Certificates of Analysis (COA)
Search for Certificates of Analysis (COA) by entering the products Lot Number. Lot and Batch Numbers can be found on a product’s label following the words ‘Lot’ or ‘Batch’.
*Catalog Number
*Lot Number
Certificates Of Origin (COO)
This COO confirms the country where the product was manufactured, and also details the materials and components used in it and whether it is derived from natural, synthetic, or other specific sources. This certificate may be required for customs, trade, and regulatory compliance.
*Catalog Number
*Lot Number
Safety Data Sheets (SDS)
The SDS provides comprehensive safety information on handling, storage, and disposal of the product.
DownloadProduct Specification (PS)
The PS provides a comprehensive breakdown of the product’s properties, including chemical composition, physical state, purity, and storage requirements. It also details acceptable quality ranges and the product's intended applications.
DownloadCertificates of Analysis (COA)
Search for Certificates of Analysis (COA) by entering the products Lot Number. Lot and Batch Numbers can be found on a product’s label following the words ‘Lot’ or ‘Batch’.
*Catalog Number
*Lot Number
Certificates Of Origin (COO)
This COO confirms the country where the product was manufactured, and also details the materials and components used in it and whether it is derived from natural, synthetic, or other specific sources. This certificate may be required for customs, trade, and regulatory compliance.
*Catalog Number
*Lot Number
Citations
Sign up and save
Entice customers to sign up for your mailing list with discounts or exclusive offers.
