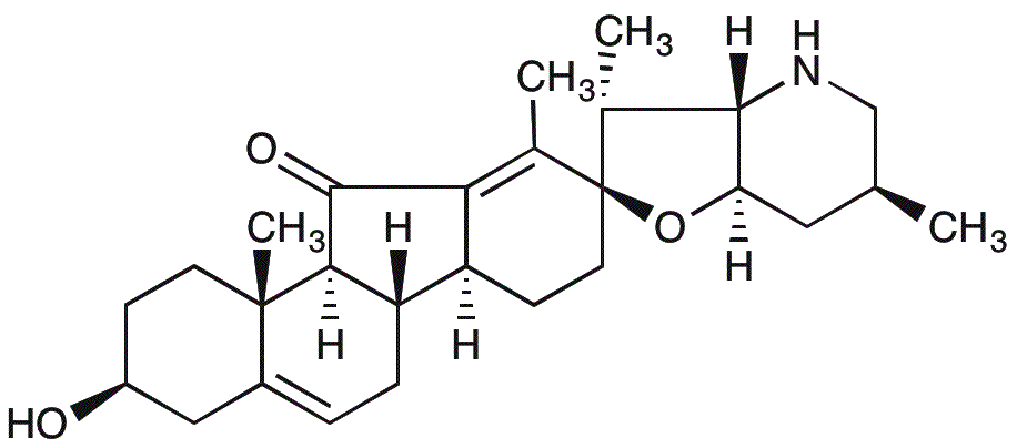
Jervine is widely utilized in research focused on:
- Pharmaceutical Development: Jervine has shown potential in the development of new medications, particularly in treating neurological disorders due to its unique structural properties that influence biological activity.
- Natural Product Chemistry: This compound is a key subject in the study of natural products, helping researchers understand plant-derived compounds and their effects, which can lead to the discovery of new therapeutic agents.
- Biochemical Research: Jervine is used in various biochemical assays to explore its interactions with proteins and enzymes, providing insights into metabolic pathways and cellular functions.
- Agricultural Applications: Its potential as a bioactive compound makes it a candidate for developing natural pesticides or growth regulators, promoting sustainable agricultural practices.
- Cosmetic Formulations: Due to its unique properties, Jervine can be explored in cosmetic products for its potential skin benefits, offering a natural alternative to synthetic ingredients.
General Information
Properties
Safety and Regulations
Applications
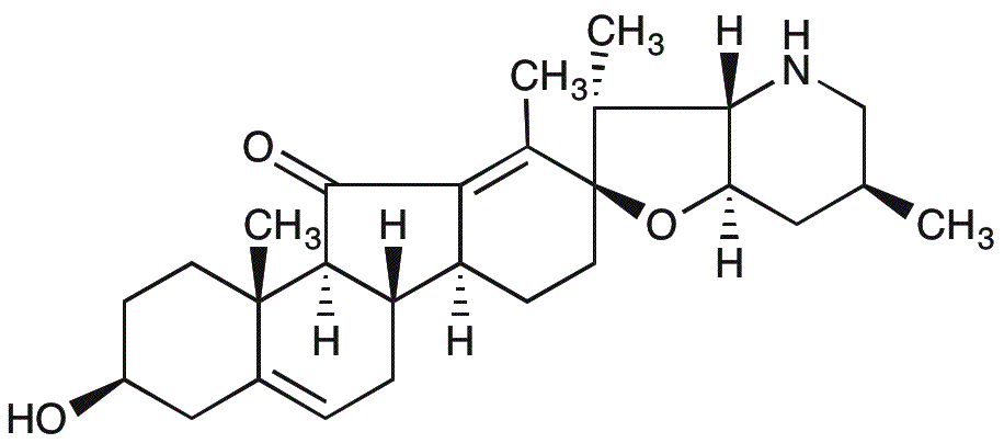
Jervine is widely utilized in research focused on:
- Pharmaceutical Development: Jervine has shown potential in the development of new medications, particularly in treating neurological disorders due to its unique structural properties that influence biological activity.
- Natural Product Chemistry: This compound is a key subject in the study of natural products, helping researchers understand plant-derived compounds and their effects, which can lead to the discovery of new therapeutic agents.
- Biochemical Research: Jervine is used in various biochemical assays to explore its interactions with proteins and enzymes, providing insights into metabolic pathways and cellular functions.
- Agricultural Applications: Its potential as a bioactive compound makes it a candidate for developing natural pesticides or growth regulators, promoting sustainable agricultural practices.
- Cosmetic Formulations: Due to its unique properties, Jervine can be explored in cosmetic products for its potential skin benefits, offering a natural alternative to synthetic ingredients.
Documents
Safety Data Sheets (SDS)
The SDS provides comprehensive safety information on handling, storage, and disposal of the product.
Product Specification (PS)
The PS provides a comprehensive breakdown of the product’s properties, including chemical composition, physical state, purity, and storage requirements. It also details acceptable quality ranges and the product's intended applications.
Certificates of Analysis (COA)
Search for Certificates of Analysis (COA) by entering the products Lot Number. Lot and Batch Numbers can be found on a product’s label following the words ‘Lot’ or ‘Batch’.
*Catalog Number
*Lot Number
Certificates Of Origin (COO)
This COO confirms the country where the product was manufactured, and also details the materials and components used in it and whether it is derived from natural, synthetic, or other specific sources. This certificate may be required for customs, trade, and regulatory compliance.
*Catalog Number
*Lot Number
Safety Data Sheets (SDS)
The SDS provides comprehensive safety information on handling, storage, and disposal of the product.
DownloadProduct Specification (PS)
The PS provides a comprehensive breakdown of the product’s properties, including chemical composition, physical state, purity, and storage requirements. It also details acceptable quality ranges and the product's intended applications.
DownloadCertificates of Analysis (COA)
Search for Certificates of Analysis (COA) by entering the products Lot Number. Lot and Batch Numbers can be found on a product’s label following the words ‘Lot’ or ‘Batch’.
*Catalog Number
*Lot Number
Certificates Of Origin (COO)
This COO confirms the country where the product was manufactured, and also details the materials and components used in it and whether it is derived from natural, synthetic, or other specific sources. This certificate may be required for customs, trade, and regulatory compliance.
