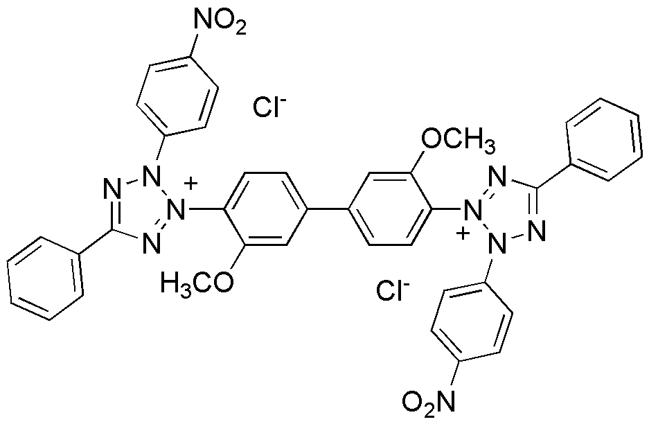
Nitrotetrazolium blue chloride is widely utilized in research focused on:
- Biochemical Assays: This compound is commonly used in redox assays to measure the activity of various enzymes, providing researchers with a reliable method to assess metabolic processes.
- Cell Viability Testing: It serves as a vital reagent in cell viability assays, helping scientists determine the effects of drugs or treatments on cell health, which is crucial in pharmaceutical research.
- Histological Staining: In histology, it is used for staining tissues, allowing for better visualization of cellular structures under a microscope, which aids in diagnostics and research.
- Electrochemical Sensors: The compound is employed in the development of electrochemical sensors for detecting specific biomolecules, enhancing the sensitivity and specificity of biosensors in clinical applications.
- Environmental Monitoring: It is utilized in environmental studies to detect and quantify pollutants, providing essential data for assessing ecological health and compliance with environmental regulations.
General Information
Properties
Safety and Regulations
Applications
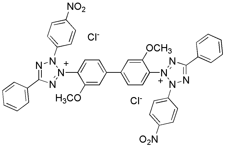
Nitrotetrazolium blue chloride is widely utilized in research focused on:
- Biochemical Assays: This compound is commonly used in redox assays to measure the activity of various enzymes, providing researchers with a reliable method to assess metabolic processes.
- Cell Viability Testing: It serves as a vital reagent in cell viability assays, helping scientists determine the effects of drugs or treatments on cell health, which is crucial in pharmaceutical research.
- Histological Staining: In histology, it is used for staining tissues, allowing for better visualization of cellular structures under a microscope, which aids in diagnostics and research.
- Electrochemical Sensors: The compound is employed in the development of electrochemical sensors for detecting specific biomolecules, enhancing the sensitivity and specificity of biosensors in clinical applications.
- Environmental Monitoring: It is utilized in environmental studies to detect and quantify pollutants, providing essential data for assessing ecological health and compliance with environmental regulations.
Documents
Safety Data Sheets (SDS)
The SDS provides comprehensive safety information on handling, storage, and disposal of the product.
Product Specification (PS)
The PS provides a comprehensive breakdown of the product’s properties, including chemical composition, physical state, purity, and storage requirements. It also details acceptable quality ranges and the product's intended applications.
Certificates of Analysis (COA)
Search for Certificates of Analysis (COA) by entering the products Lot Number. Lot and Batch Numbers can be found on a product’s label following the words ‘Lot’ or ‘Batch’.
*Catalog Number
*Lot Number
Certificates Of Origin (COO)
This COO confirms the country where the product was manufactured, and also details the materials and components used in it and whether it is derived from natural, synthetic, or other specific sources. This certificate may be required for customs, trade, and regulatory compliance.
*Catalog Number
*Lot Number
Safety Data Sheets (SDS)
The SDS provides comprehensive safety information on handling, storage, and disposal of the product.
DownloadProduct Specification (PS)
The PS provides a comprehensive breakdown of the product’s properties, including chemical composition, physical state, purity, and storage requirements. It also details acceptable quality ranges and the product's intended applications.
DownloadCertificates of Analysis (COA)
Search for Certificates of Analysis (COA) by entering the products Lot Number. Lot and Batch Numbers can be found on a product’s label following the words ‘Lot’ or ‘Batch’.
*Catalog Number
*Lot Number
Certificates Of Origin (COO)
This COO confirms the country where the product was manufactured, and also details the materials and components used in it and whether it is derived from natural, synthetic, or other specific sources. This certificate may be required for customs, trade, and regulatory compliance.
