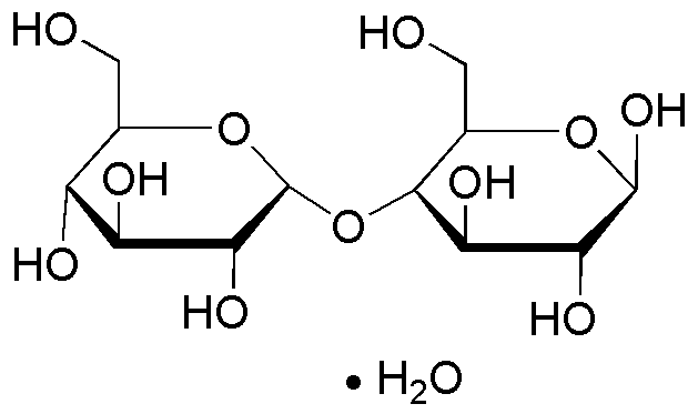
D-Maltose hydrate (Low Endotoxins) is widely utilized in research focused on:
- Pharmaceutical Development: It serves as a stabilizing agent in drug formulations, enhancing the solubility and bioavailability of active pharmaceutical ingredients.
- Biotechnology: Used as a carbon source in microbial fermentation processes, it supports the growth of various microorganisms for the production of enzymes and biofuels.
- Food Industry: Acts as a sweetener and humectant in food products, improving texture and moisture retention, which is crucial for baked goods and confections.
- Clinical Research: Employed in cell culture media to promote cell growth and viability, particularly in studies involving mammalian cells.
- Diagnostics: Utilized in laboratory assays and tests, where its low endotoxin levels are critical for accurate results, especially in immunological studies.
General Information
Properties
Safety and Regulations
Applications
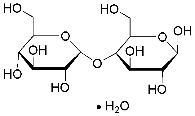
D-Maltose hydrate (Low Endotoxins) is widely utilized in research focused on:
- Pharmaceutical Development: It serves as a stabilizing agent in drug formulations, enhancing the solubility and bioavailability of active pharmaceutical ingredients.
- Biotechnology: Used as a carbon source in microbial fermentation processes, it supports the growth of various microorganisms for the production of enzymes and biofuels.
- Food Industry: Acts as a sweetener and humectant in food products, improving texture and moisture retention, which is crucial for baked goods and confections.
- Clinical Research: Employed in cell culture media to promote cell growth and viability, particularly in studies involving mammalian cells.
- Diagnostics: Utilized in laboratory assays and tests, where its low endotoxin levels are critical for accurate results, especially in immunological studies.
Documents
Safety Data Sheets (SDS)
The SDS provides comprehensive safety information on handling, storage, and disposal of the product.
Product Specification (PS)
The PS provides a comprehensive breakdown of the product’s properties, including chemical composition, physical state, purity, and storage requirements. It also details acceptable quality ranges and the product's intended applications.
Certificates of Analysis (COA)
Search for Certificates of Analysis (COA) by entering the products Lot Number. Lot and Batch Numbers can be found on a product’s label following the words ‘Lot’ or ‘Batch’.
*Catalog Number
*Lot Number
Certificates Of Origin (COO)
This COO confirms the country where the product was manufactured, and also details the materials and components used in it and whether it is derived from natural, synthetic, or other specific sources. This certificate may be required for customs, trade, and regulatory compliance.
*Catalog Number
*Lot Number
Safety Data Sheets (SDS)
The SDS provides comprehensive safety information on handling, storage, and disposal of the product.
DownloadProduct Specification (PS)
The PS provides a comprehensive breakdown of the product’s properties, including chemical composition, physical state, purity, and storage requirements. It also details acceptable quality ranges and the product's intended applications.
DownloadCertificates of Analysis (COA)
Search for Certificates of Analysis (COA) by entering the products Lot Number. Lot and Batch Numbers can be found on a product’s label following the words ‘Lot’ or ‘Batch’.
*Catalog Number
*Lot Number
Certificates Of Origin (COO)
This COO confirms the country where the product was manufactured, and also details the materials and components used in it and whether it is derived from natural, synthetic, or other specific sources. This certificate may be required for customs, trade, and regulatory compliance.
