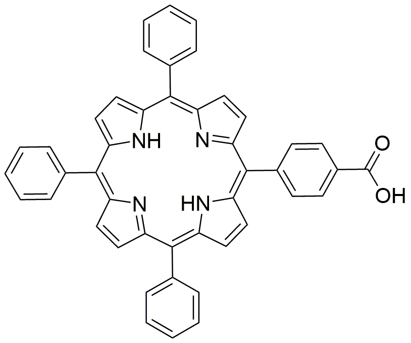
5-(4-Carboxyphenyl)-10,15,20-triphenylporphyrin is widely utilized in research focused on:
- Photodynamic Therapy (PDT): This compound is effective in medical treatments for cancer, where it can be activated by light to produce reactive oxygen species that selectively destroy cancer cells.
- Solar Energy Conversion: Its unique structure allows for efficient light absorption and energy transfer, making it a valuable component in organic solar cells, improving their efficiency.
- Fluorescent Probes: Used in biological imaging, this compound can help visualize cellular processes due to its strong fluorescence properties, aiding researchers in studying live cells.
- Catalysis: It serves as a catalyst in various chemical reactions, particularly in organic synthesis, enhancing reaction rates and selectivity compared to traditional catalysts.
- Environmental Sensing: The compound can be applied in sensors for detecting pollutants, providing a sensitive and selective method for environmental monitoring.
General Information
Properties
Safety and Regulations
Applications
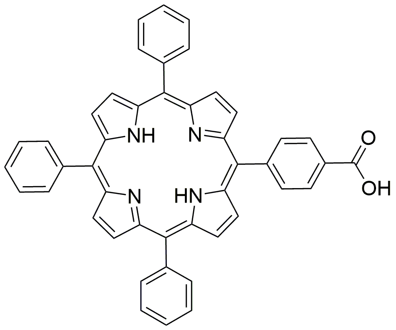
5-(4-Carboxyphenyl)-10,15,20-triphenylporphyrin is widely utilized in research focused on:
- Photodynamic Therapy (PDT): This compound is effective in medical treatments for cancer, where it can be activated by light to produce reactive oxygen species that selectively destroy cancer cells.
- Solar Energy Conversion: Its unique structure allows for efficient light absorption and energy transfer, making it a valuable component in organic solar cells, improving their efficiency.
- Fluorescent Probes: Used in biological imaging, this compound can help visualize cellular processes due to its strong fluorescence properties, aiding researchers in studying live cells.
- Catalysis: It serves as a catalyst in various chemical reactions, particularly in organic synthesis, enhancing reaction rates and selectivity compared to traditional catalysts.
- Environmental Sensing: The compound can be applied in sensors for detecting pollutants, providing a sensitive and selective method for environmental monitoring.
Documents
Safety Data Sheets (SDS)
The SDS provides comprehensive safety information on handling, storage, and disposal of the product.
Product Specification (PS)
The PS provides a comprehensive breakdown of the product’s properties, including chemical composition, physical state, purity, and storage requirements. It also details acceptable quality ranges and the product's intended applications.
Certificates of Analysis (COA)
Search for Certificates of Analysis (COA) by entering the products Lot Number. Lot and Batch Numbers can be found on a product’s label following the words ‘Lot’ or ‘Batch’.
*Catalog Number
*Lot Number
Certificates Of Origin (COO)
This COO confirms the country where the product was manufactured, and also details the materials and components used in it and whether it is derived from natural, synthetic, or other specific sources. This certificate may be required for customs, trade, and regulatory compliance.
*Catalog Number
*Lot Number
Safety Data Sheets (SDS)
The SDS provides comprehensive safety information on handling, storage, and disposal of the product.
DownloadProduct Specification (PS)
The PS provides a comprehensive breakdown of the product’s properties, including chemical composition, physical state, purity, and storage requirements. It also details acceptable quality ranges and the product's intended applications.
DownloadCertificates of Analysis (COA)
Search for Certificates of Analysis (COA) by entering the products Lot Number. Lot and Batch Numbers can be found on a product’s label following the words ‘Lot’ or ‘Batch’.
*Catalog Number
*Lot Number
Certificates Of Origin (COO)
This COO confirms the country where the product was manufactured, and also details the materials and components used in it and whether it is derived from natural, synthetic, or other specific sources. This certificate may be required for customs, trade, and regulatory compliance.
