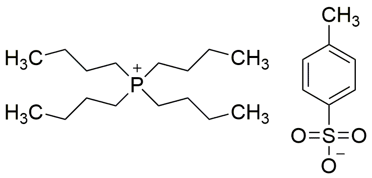
Tetrabutylphosphonium p-toluenesulfonate is widely utilized in research focused on:
- Organic Synthesis: This compound serves as a phase-transfer catalyst, facilitating reactions between organic and aqueous phases, which is crucial in synthesizing various organic compounds.
- Electrochemistry: It is employed in the development of ionic liquids, enhancing the performance of electrochemical cells and batteries by improving conductivity and stability.
- Biochemical Applications: The compound is used in the extraction and purification of biomolecules, aiding researchers in isolating proteins and nucleic acids efficiently.
- Material Science: It plays a role in the formulation of advanced materials, such as polymers and composites, contributing to improved mechanical properties and thermal stability.
- Environmental Chemistry: This chemical is utilized in the treatment of wastewater, helping to remove contaminants and improve water quality through its effective ion-exchange properties.
General Information
Properties
Safety and Regulations
Applications
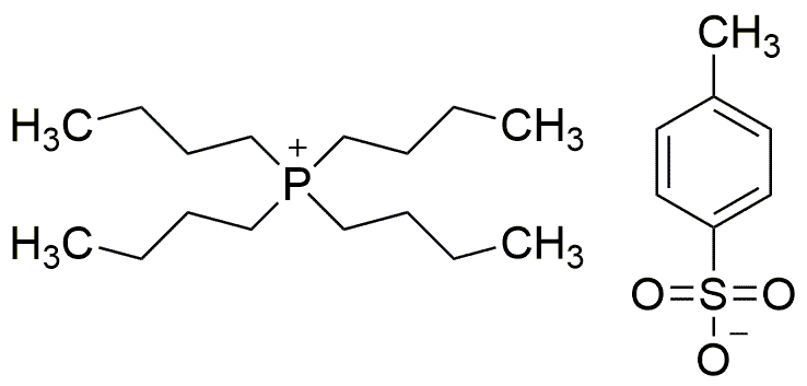
Tetrabutylphosphonium p-toluenesulfonate is widely utilized in research focused on:
- Organic Synthesis: This compound serves as a phase-transfer catalyst, facilitating reactions between organic and aqueous phases, which is crucial in synthesizing various organic compounds.
- Electrochemistry: It is employed in the development of ionic liquids, enhancing the performance of electrochemical cells and batteries by improving conductivity and stability.
- Biochemical Applications: The compound is used in the extraction and purification of biomolecules, aiding researchers in isolating proteins and nucleic acids efficiently.
- Material Science: It plays a role in the formulation of advanced materials, such as polymers and composites, contributing to improved mechanical properties and thermal stability.
- Environmental Chemistry: This chemical is utilized in the treatment of wastewater, helping to remove contaminants and improve water quality through its effective ion-exchange properties.
Documents
Safety Data Sheets (SDS)
The SDS provides comprehensive safety information on handling, storage, and disposal of the product.
Product Specification (PS)
The PS provides a comprehensive breakdown of the product’s properties, including chemical composition, physical state, purity, and storage requirements. It also details acceptable quality ranges and the product's intended applications.
Certificates of Analysis (COA)
Search for Certificates of Analysis (COA) by entering the products Lot Number. Lot and Batch Numbers can be found on a product’s label following the words ‘Lot’ or ‘Batch’.
*Catalog Number
*Lot Number
Certificates Of Origin (COO)
This COO confirms the country where the product was manufactured, and also details the materials and components used in it and whether it is derived from natural, synthetic, or other specific sources. This certificate may be required for customs, trade, and regulatory compliance.
*Catalog Number
*Lot Number
Safety Data Sheets (SDS)
The SDS provides comprehensive safety information on handling, storage, and disposal of the product.
DownloadProduct Specification (PS)
The PS provides a comprehensive breakdown of the product’s properties, including chemical composition, physical state, purity, and storage requirements. It also details acceptable quality ranges and the product's intended applications.
DownloadCertificates of Analysis (COA)
Search for Certificates of Analysis (COA) by entering the products Lot Number. Lot and Batch Numbers can be found on a product’s label following the words ‘Lot’ or ‘Batch’.
*Catalog Number
*Lot Number
Certificates Of Origin (COO)
This COO confirms the country where the product was manufactured, and also details the materials and components used in it and whether it is derived from natural, synthetic, or other specific sources. This certificate may be required for customs, trade, and regulatory compliance.
