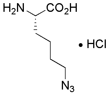
Ne-Azido-L-Lysine hydrochloride is widely utilized in research focused on:
- Bioconjugation: This compound serves as a versatile building block for bioconjugation, allowing researchers to attach various biomolecules to surfaces or other molecules, enhancing drug delivery systems and diagnostic tools.
- Protein Labeling: It is employed in the labeling of proteins for visualization and tracking in cellular studies, making it easier to study protein interactions and functions in live cells.
- Click Chemistry: The azide group in this compound is ideal for click chemistry applications, facilitating the rapid and selective formation of covalent bonds, which is crucial in drug development and materials science.
- Peptide Synthesis: It is utilized in the synthesis of modified peptides, enabling the incorporation of azide functionality for further chemical modifications, thus expanding the toolbox for peptide research.
- Biomedical Research: This compound is valuable in the development of novel therapeutic agents, particularly in cancer research, where targeted delivery systems can be enhanced through its unique chemical properties.
General Information
Properties
Safety and Regulations
Applications
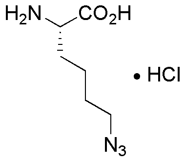
Ne-Azido-L-Lysine hydrochloride is widely utilized in research focused on:
- Bioconjugation: This compound serves as a versatile building block for bioconjugation, allowing researchers to attach various biomolecules to surfaces or other molecules, enhancing drug delivery systems and diagnostic tools.
- Protein Labeling: It is employed in the labeling of proteins for visualization and tracking in cellular studies, making it easier to study protein interactions and functions in live cells.
- Click Chemistry: The azide group in this compound is ideal for click chemistry applications, facilitating the rapid and selective formation of covalent bonds, which is crucial in drug development and materials science.
- Peptide Synthesis: It is utilized in the synthesis of modified peptides, enabling the incorporation of azide functionality for further chemical modifications, thus expanding the toolbox for peptide research.
- Biomedical Research: This compound is valuable in the development of novel therapeutic agents, particularly in cancer research, where targeted delivery systems can be enhanced through its unique chemical properties.
Documents
Safety Data Sheets (SDS)
The SDS provides comprehensive safety information on handling, storage, and disposal of the product.
Product Specification (PS)
The PS provides a comprehensive breakdown of the product’s properties, including chemical composition, physical state, purity, and storage requirements. It also details acceptable quality ranges and the product's intended applications.
Certificates of Analysis (COA)
Search for Certificates of Analysis (COA) by entering the products Lot Number. Lot and Batch Numbers can be found on a product’s label following the words ‘Lot’ or ‘Batch’.
*Catalog Number
*Lot Number
Certificates Of Origin (COO)
This COO confirms the country where the product was manufactured, and also details the materials and components used in it and whether it is derived from natural, synthetic, or other specific sources. This certificate may be required for customs, trade, and regulatory compliance.
*Catalog Number
*Lot Number
Safety Data Sheets (SDS)
The SDS provides comprehensive safety information on handling, storage, and disposal of the product.
DownloadProduct Specification (PS)
The PS provides a comprehensive breakdown of the product’s properties, including chemical composition, physical state, purity, and storage requirements. It also details acceptable quality ranges and the product's intended applications.
DownloadCertificates of Analysis (COA)
Search for Certificates of Analysis (COA) by entering the products Lot Number. Lot and Batch Numbers can be found on a product’s label following the words ‘Lot’ or ‘Batch’.
*Catalog Number
*Lot Number
Certificates Of Origin (COO)
This COO confirms the country where the product was manufactured, and also details the materials and components used in it and whether it is derived from natural, synthetic, or other specific sources. This certificate may be required for customs, trade, and regulatory compliance.
*Catalog Number
*Lot Number
Citations
Sign up and save
Entice customers to sign up for your mailing list with discounts or exclusive offers.
