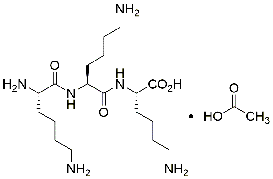
Lys-Lys-Lys-OH·AcOH is widely utilized in research focused on:
- Peptide Synthesis: This compound serves as a building block in the synthesis of peptides, which are essential in drug development and biotechnology. Its unique structure allows for the creation of specific sequences that can target various biological pathways.
- Biochemical Research: Researchers use it to study protein interactions and functions. By incorporating this compound into experiments, scientists can better understand cellular mechanisms and develop new therapeutic strategies.
- Drug Delivery Systems: The compound can be utilized in formulating drug delivery systems that enhance the stability and bioavailability of therapeutic agents, making treatments more effective.
- Cosmetic Applications: In the cosmetic industry, it is used in formulations aimed at skin rejuvenation and anti-aging, leveraging its properties to improve skin hydration and elasticity.
- Diagnostics: This compound plays a role in the development of diagnostic tools, particularly in assays that require specific peptide interactions, aiding in the detection of various diseases.
General Information
Properties
Safety and Regulations
Applications
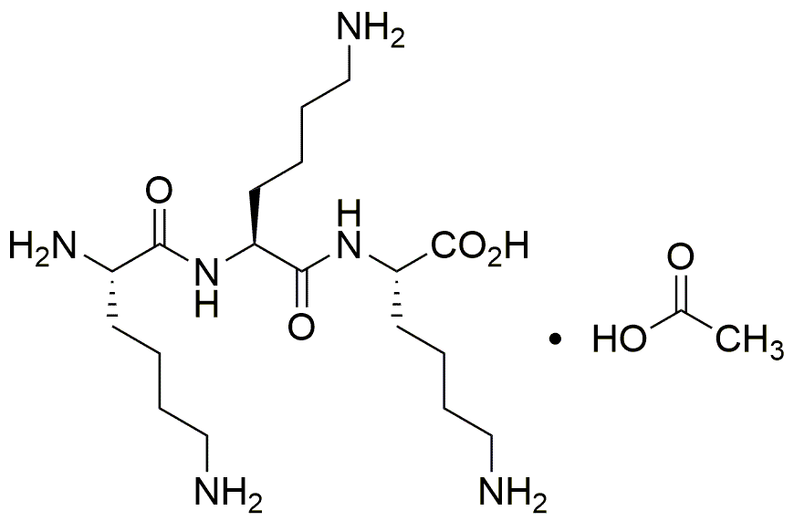
Lys-Lys-Lys-OH·AcOH is widely utilized in research focused on:
- Peptide Synthesis: This compound serves as a building block in the synthesis of peptides, which are essential in drug development and biotechnology. Its unique structure allows for the creation of specific sequences that can target various biological pathways.
- Biochemical Research: Researchers use it to study protein interactions and functions. By incorporating this compound into experiments, scientists can better understand cellular mechanisms and develop new therapeutic strategies.
- Drug Delivery Systems: The compound can be utilized in formulating drug delivery systems that enhance the stability and bioavailability of therapeutic agents, making treatments more effective.
- Cosmetic Applications: In the cosmetic industry, it is used in formulations aimed at skin rejuvenation and anti-aging, leveraging its properties to improve skin hydration and elasticity.
- Diagnostics: This compound plays a role in the development of diagnostic tools, particularly in assays that require specific peptide interactions, aiding in the detection of various diseases.
Documents
Safety Data Sheets (SDS)
The SDS provides comprehensive safety information on handling, storage, and disposal of the product.
Product Specification (PS)
The PS provides a comprehensive breakdown of the product’s properties, including chemical composition, physical state, purity, and storage requirements. It also details acceptable quality ranges and the product's intended applications.
Certificates of Analysis (COA)
Search for Certificates of Analysis (COA) by entering the products Lot Number. Lot and Batch Numbers can be found on a product’s label following the words ‘Lot’ or ‘Batch’.
*Catalog Number
*Lot Number
Certificates Of Origin (COO)
This COO confirms the country where the product was manufactured, and also details the materials and components used in it and whether it is derived from natural, synthetic, or other specific sources. This certificate may be required for customs, trade, and regulatory compliance.
*Catalog Number
*Lot Number
Safety Data Sheets (SDS)
The SDS provides comprehensive safety information on handling, storage, and disposal of the product.
DownloadProduct Specification (PS)
The PS provides a comprehensive breakdown of the product’s properties, including chemical composition, physical state, purity, and storage requirements. It also details acceptable quality ranges and the product's intended applications.
DownloadCertificates of Analysis (COA)
Search for Certificates of Analysis (COA) by entering the products Lot Number. Lot and Batch Numbers can be found on a product’s label following the words ‘Lot’ or ‘Batch’.
*Catalog Number
*Lot Number
Certificates Of Origin (COO)
This COO confirms the country where the product was manufactured, and also details the materials and components used in it and whether it is derived from natural, synthetic, or other specific sources. This certificate may be required for customs, trade, and regulatory compliance.
*Catalog Number
*Lot Number
Citations
Sign up and save
Entice customers to sign up for your mailing list with discounts or exclusive offers.
