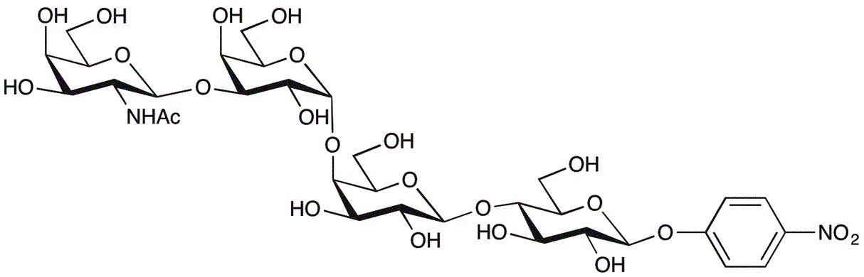
GalNAcb(1-3)Gala(1-4)Galb(1-4)Glc-b-Pnp is widely utilized in research focused on:
- Glycobiology Studies: This compound is essential for investigating glycan structures and their interactions, helping researchers understand cellular communication and immune responses.
- Drug Development: It plays a role in the formulation of new therapeutics, particularly in targeting specific cells or tissues, enhancing drug efficacy and reducing side effects.
- Diagnostics: Used in the development of diagnostic tools, this compound aids in the detection of diseases by targeting specific biomarkers, improving early diagnosis.
- Vaccine Research: It contributes to the design of vaccines by mimicking natural glycan structures, which can enhance immune responses and provide better protection against pathogens.
- Biotechnology Applications: In the production of glycoproteins, this compound is crucial for optimizing yields and improving the functionality of biopharmaceuticals.
General Information
Properties
Safety and Regulations
Applications
GalNAcb(1-3)Gala(1-4)Galb(1-4)Glc-b-Pnp is widely utilized in research focused on:
- Glycobiology Studies: This compound is essential for investigating glycan structures and their interactions, helping researchers understand cellular communication and immune responses.
- Drug Development: It plays a role in the formulation of new therapeutics, particularly in targeting specific cells or tissues, enhancing drug efficacy and reducing side effects.
- Diagnostics: Used in the development of diagnostic tools, this compound aids in the detection of diseases by targeting specific biomarkers, improving early diagnosis.
- Vaccine Research: It contributes to the design of vaccines by mimicking natural glycan structures, which can enhance immune responses and provide better protection against pathogens.
- Biotechnology Applications: In the production of glycoproteins, this compound is crucial for optimizing yields and improving the functionality of biopharmaceuticals.
Documents
Safety Data Sheets (SDS)
The SDS provides comprehensive safety information on handling, storage, and disposal of the product.
Product Specification (PS)
The PS provides a comprehensive breakdown of the product’s properties, including chemical composition, physical state, purity, and storage requirements. It also details acceptable quality ranges and the product's intended applications.
Certificates of Analysis (COA)
Search for Certificates of Analysis (COA) by entering the products Lot Number. Lot and Batch Numbers can be found on a product’s label following the words ‘Lot’ or ‘Batch’.
Número de catálogo
Número de lote/lote
Certificates Of Origin (COO)
This COO confirms the country where the product was manufactured, and also details the materials and components used in it and whether it is derived from natural, synthetic, or other specific sources. This certificate may be required for customs, trade, and regulatory compliance.
Número de catálogo
Número de lote/lote
Safety Data Sheets (SDS)
The SDS provides comprehensive safety information on handling, storage, and disposal of the product.
DownloadProduct Specification (PS)
The PS provides a comprehensive breakdown of the product’s properties, including chemical composition, physical state, purity, and storage requirements. It also details acceptable quality ranges and the product's intended applications.
DownloadCertificates of Analysis (COA)
Search for Certificates of Analysis (COA) by entering the products Lot Number. Lot and Batch Numbers can be found on a product’s label following the words ‘Lot’ or ‘Batch’.
Número de catálogo
Número de lote/lote
Certificates Of Origin (COO)
This COO confirms the country where the product was manufactured, and also details the materials and components used in it and whether it is derived from natural, synthetic, or other specific sources. This certificate may be required for customs, trade, and regulatory compliance.
Número de catálogo
Número de lote/lote
Citas
Sign up and save
Entice customers to sign up for your mailing list with discounts or exclusive offers.
