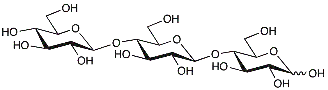
D-(+)-Cellotriose is widely utilized in research focused on:
- Food Industry: It serves as a prebiotic, promoting the growth of beneficial gut bacteria, which can enhance digestive health and improve overall well-being.
- Pharmaceuticals: This compound is used in drug formulation to improve the solubility and bioavailability of certain medications, making them more effective for patients.
- Biotechnology: D-(+)-Cellotriose is employed in enzyme assays to study cellulase activity, aiding in the development of biofuels and other renewable energy sources.
- Cosmetics: It is incorporated into skincare products for its moisturizing properties, helping to retain skin hydration and improve texture.
- Research Applications: In academic settings, it is used as a standard in carbohydrate analysis, facilitating the study of complex carbohydrates and their functions.
General Information
Properties
Safety and Regulations
Applications
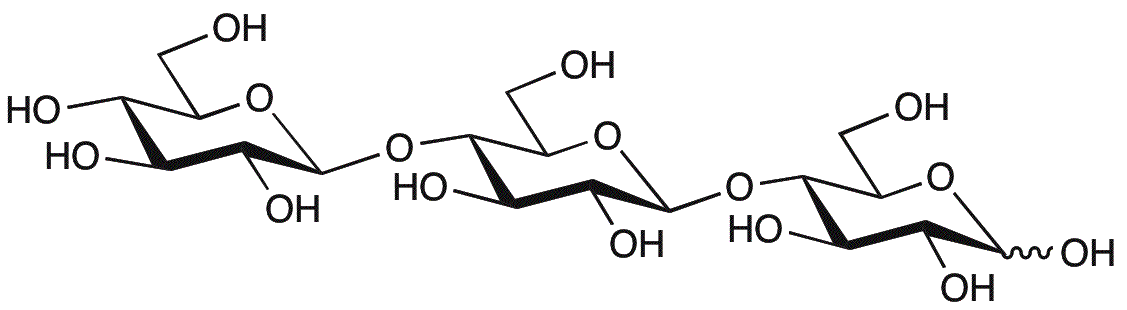
D-(+)-Cellotriose is widely utilized in research focused on:
- Food Industry: It serves as a prebiotic, promoting the growth of beneficial gut bacteria, which can enhance digestive health and improve overall well-being.
- Pharmaceuticals: This compound is used in drug formulation to improve the solubility and bioavailability of certain medications, making them more effective for patients.
- Biotechnology: D-(+)-Cellotriose is employed in enzyme assays to study cellulase activity, aiding in the development of biofuels and other renewable energy sources.
- Cosmetics: It is incorporated into skincare products for its moisturizing properties, helping to retain skin hydration and improve texture.
- Research Applications: In academic settings, it is used as a standard in carbohydrate analysis, facilitating the study of complex carbohydrates and their functions.
Documents
Safety Data Sheets (SDS)
The SDS provides comprehensive safety information on handling, storage, and disposal of the product.
Product Specification (PS)
The PS provides a comprehensive breakdown of the product’s properties, including chemical composition, physical state, purity, and storage requirements. It also details acceptable quality ranges and the product's intended applications.
Certificates of Analysis (COA)
Search for Certificates of Analysis (COA) by entering the products Lot Number. Lot and Batch Numbers can be found on a product’s label following the words ‘Lot’ or ‘Batch’.
Número de catálogo
Número de lote/lote
Certificates Of Origin (COO)
This COO confirms the country where the product was manufactured, and also details the materials and components used in it and whether it is derived from natural, synthetic, or other specific sources. This certificate may be required for customs, trade, and regulatory compliance.
Número de catálogo
Número de lote/lote
Safety Data Sheets (SDS)
The SDS provides comprehensive safety information on handling, storage, and disposal of the product.
DownloadProduct Specification (PS)
The PS provides a comprehensive breakdown of the product’s properties, including chemical composition, physical state, purity, and storage requirements. It also details acceptable quality ranges and the product's intended applications.
DownloadCertificates of Analysis (COA)
Search for Certificates of Analysis (COA) by entering the products Lot Number. Lot and Batch Numbers can be found on a product’s label following the words ‘Lot’ or ‘Batch’.
Número de catálogo
Número de lote/lote
Certificates Of Origin (COO)
This COO confirms the country where the product was manufactured, and also details the materials and components used in it and whether it is derived from natural, synthetic, or other specific sources. This certificate may be required for customs, trade, and regulatory compliance.
Número de catálogo
Número de lote/lote
Citas
Sign up and save
Entice customers to sign up for your mailing list with discounts or exclusive offers.
