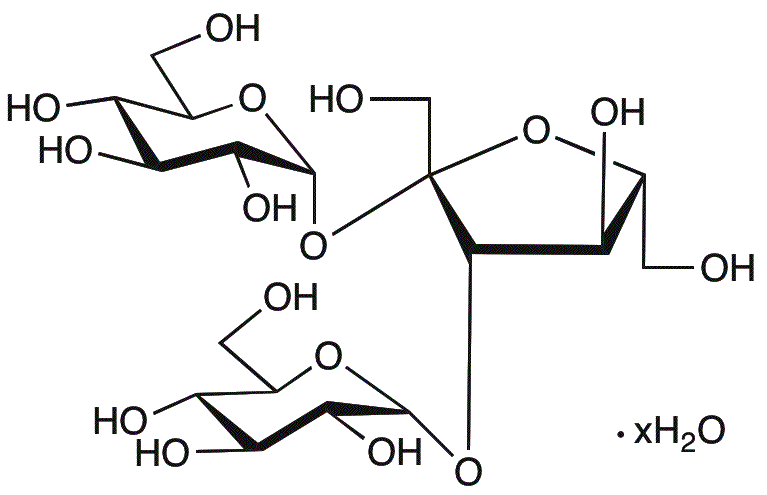
D-(+)-Melezitose hydrate is widely utilized in research focused on:
- Food Industry: It serves as a natural sweetener and stabilizer in various food products, enhancing flavor while providing a lower caloric alternative to traditional sugars.
- Pharmaceuticals: This compound is used as an excipient in drug formulations, improving the solubility and bioavailability of active ingredients, which is crucial for effective medication delivery.
- Biotechnology: In microbial culture media, it acts as a carbon source, promoting the growth of beneficial microorganisms used in fermentation processes.
- Cosmetics: Its moisturizing properties make it a valuable ingredient in skincare products, helping to retain moisture and improve skin texture.
- Research Applications: D-(+)-Melezitose hydrate is utilized in various biochemical assays and studies, particularly in carbohydrate metabolism research, providing insights into metabolic pathways.
General Information
Properties
Safety and Regulations
Applications
D-(+)-Melezitose hydrate is widely utilized in research focused on:
- Food Industry: It serves as a natural sweetener and stabilizer in various food products, enhancing flavor while providing a lower caloric alternative to traditional sugars.
- Pharmaceuticals: This compound is used as an excipient in drug formulations, improving the solubility and bioavailability of active ingredients, which is crucial for effective medication delivery.
- Biotechnology: In microbial culture media, it acts as a carbon source, promoting the growth of beneficial microorganisms used in fermentation processes.
- Cosmetics: Its moisturizing properties make it a valuable ingredient in skincare products, helping to retain moisture and improve skin texture.
- Research Applications: D-(+)-Melezitose hydrate is utilized in various biochemical assays and studies, particularly in carbohydrate metabolism research, providing insights into metabolic pathways.
Documents
Safety Data Sheets (SDS)
The SDS provides comprehensive safety information on handling, storage, and disposal of the product.
Product Specification (PS)
The PS provides a comprehensive breakdown of the product’s properties, including chemical composition, physical state, purity, and storage requirements. It also details acceptable quality ranges and the product's intended applications.
Certificates of Analysis (COA)
Search for Certificates of Analysis (COA) by entering the products Lot Number. Lot and Batch Numbers can be found on a product’s label following the words ‘Lot’ or ‘Batch’.
Número de catálogo
Número de lote/lote
Certificates Of Origin (COO)
This COO confirms the country where the product was manufactured, and also details the materials and components used in it and whether it is derived from natural, synthetic, or other specific sources. This certificate may be required for customs, trade, and regulatory compliance.
Número de catálogo
Número de lote/lote
Safety Data Sheets (SDS)
The SDS provides comprehensive safety information on handling, storage, and disposal of the product.
DownloadProduct Specification (PS)
The PS provides a comprehensive breakdown of the product’s properties, including chemical composition, physical state, purity, and storage requirements. It also details acceptable quality ranges and the product's intended applications.
DownloadCertificates of Analysis (COA)
Search for Certificates of Analysis (COA) by entering the products Lot Number. Lot and Batch Numbers can be found on a product’s label following the words ‘Lot’ or ‘Batch’.
Número de catálogo
Número de lote/lote
Certificates Of Origin (COO)
This COO confirms the country where the product was manufactured, and also details the materials and components used in it and whether it is derived from natural, synthetic, or other specific sources. This certificate may be required for customs, trade, and regulatory compliance.
Número de catálogo
Número de lote/lote
Citas
Sign up and save
Entice customers to sign up for your mailing list with discounts or exclusive offers.
