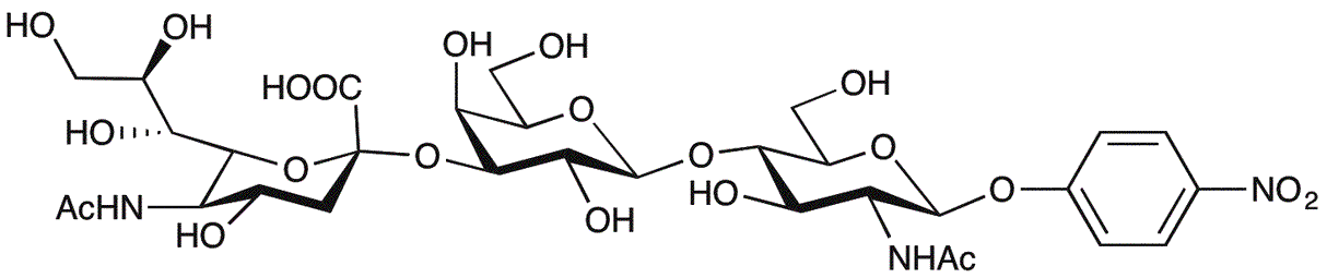
Neu5Aca(2-3)Galb(1-4)GlcNAc-b-pNP is widely utilized in research focused on:
- Glycobiology Research: This compound plays a crucial role in studying glycan structures and their biological functions, helping researchers understand cell signaling and interactions.
- Vaccine Development: It is used in the formulation of vaccines, particularly those targeting viral infections, by enhancing immune responses through glycan modifications.
- Drug Delivery Systems: The compound can be incorporated into drug delivery systems to improve the targeting and efficacy of therapeutic agents, especially in cancer treatment.
- Diagnostics: Neu5Aca(2-3)Galb(1-4)GlcNAc-b-pNP is utilized in diagnostic assays to detect specific biomarkers, aiding in the early diagnosis of diseases.
- Biotechnology Applications: It serves as a substrate in enzymatic reactions, facilitating the production of glycosylated proteins, which are essential in biopharmaceuticals.
General Information
Properties
Safety and Regulations
Applications
Neu5Aca(2-3)Galb(1-4)GlcNAc-b-pNP is widely utilized in research focused on:
- Glycobiology Research: This compound plays a crucial role in studying glycan structures and their biological functions, helping researchers understand cell signaling and interactions.
- Vaccine Development: It is used in the formulation of vaccines, particularly those targeting viral infections, by enhancing immune responses through glycan modifications.
- Drug Delivery Systems: The compound can be incorporated into drug delivery systems to improve the targeting and efficacy of therapeutic agents, especially in cancer treatment.
- Diagnostics: Neu5Aca(2-3)Galb(1-4)GlcNAc-b-pNP is utilized in diagnostic assays to detect specific biomarkers, aiding in the early diagnosis of diseases.
- Biotechnology Applications: It serves as a substrate in enzymatic reactions, facilitating the production of glycosylated proteins, which are essential in biopharmaceuticals.
Documents
Safety Data Sheets (SDS)
The SDS provides comprehensive safety information on handling, storage, and disposal of the product.
Product Specification (PS)
The PS provides a comprehensive breakdown of the product’s properties, including chemical composition, physical state, purity, and storage requirements. It also details acceptable quality ranges and the product's intended applications.
Certificates of Analysis (COA)
Search for Certificates of Analysis (COA) by entering the products Lot Number. Lot and Batch Numbers can be found on a product’s label following the words ‘Lot’ or ‘Batch’.
Número de catálogo
Número de lote/lote
Certificates Of Origin (COO)
This COO confirms the country where the product was manufactured, and also details the materials and components used in it and whether it is derived from natural, synthetic, or other specific sources. This certificate may be required for customs, trade, and regulatory compliance.
Número de catálogo
Número de lote/lote
Safety Data Sheets (SDS)
The SDS provides comprehensive safety information on handling, storage, and disposal of the product.
DownloadProduct Specification (PS)
The PS provides a comprehensive breakdown of the product’s properties, including chemical composition, physical state, purity, and storage requirements. It also details acceptable quality ranges and the product's intended applications.
DownloadCertificates of Analysis (COA)
Search for Certificates of Analysis (COA) by entering the products Lot Number. Lot and Batch Numbers can be found on a product’s label following the words ‘Lot’ or ‘Batch’.
Número de catálogo
Número de lote/lote
Certificates Of Origin (COO)
This COO confirms the country where the product was manufactured, and also details the materials and components used in it and whether it is derived from natural, synthetic, or other specific sources. This certificate may be required for customs, trade, and regulatory compliance.
Número de catálogo
Número de lote/lote
Citas
Sign up and save
Entice customers to sign up for your mailing list with discounts or exclusive offers.
