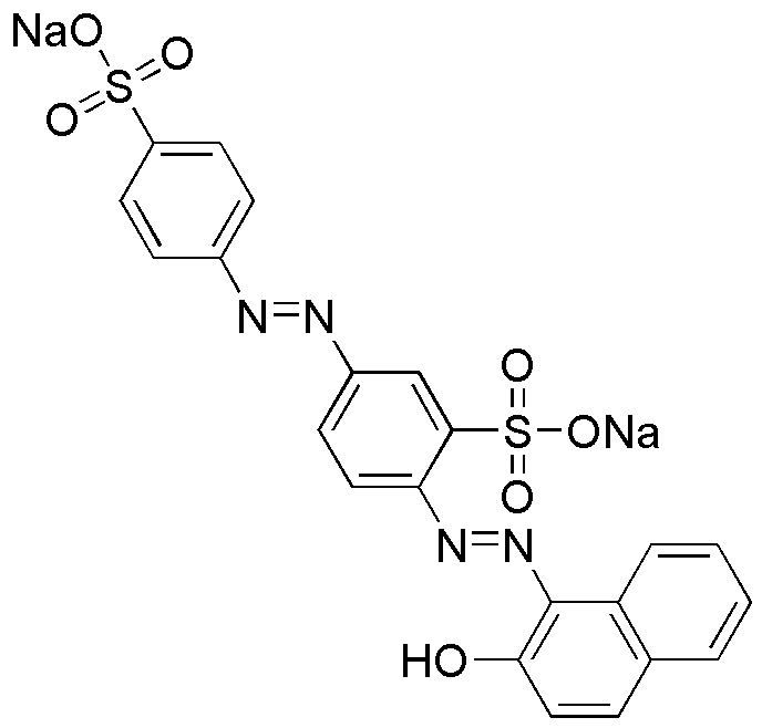
Biebrich scarlet sodium salt is widely utilized in research focused on:
- Histology and Cytology: This compound is commonly used as a staining agent in microscopy, allowing researchers to visualize cellular structures and tissues effectively.
- Textile Industry: It serves as a dye for fabrics, providing vibrant colors that are resistant to fading, making it ideal for high-quality textile applications.
- Biological Research: Biebrich scarlet sodium salt is employed in various assays and experiments to study protein interactions and cellular processes, enhancing the understanding of biological mechanisms.
- Environmental Monitoring: The compound is utilized in analytical chemistry for detecting and quantifying pollutants in water samples, aiding in environmental protection efforts.
- Pharmaceutical Development: It plays a role in developing drug formulations, particularly in the assessment of drug delivery systems and their interactions with biological tissues.
General Information
Properties
Safety and Regulations
Applications
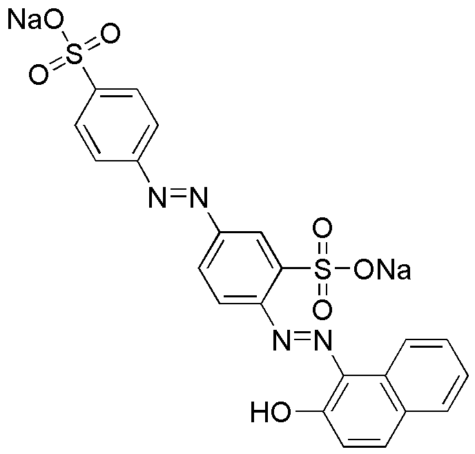
Biebrich scarlet sodium salt is widely utilized in research focused on:
- Histology and Cytology: This compound is commonly used as a staining agent in microscopy, allowing researchers to visualize cellular structures and tissues effectively.
- Textile Industry: It serves as a dye for fabrics, providing vibrant colors that are resistant to fading, making it ideal for high-quality textile applications.
- Biological Research: Biebrich scarlet sodium salt is employed in various assays and experiments to study protein interactions and cellular processes, enhancing the understanding of biological mechanisms.
- Environmental Monitoring: The compound is utilized in analytical chemistry for detecting and quantifying pollutants in water samples, aiding in environmental protection efforts.
- Pharmaceutical Development: It plays a role in developing drug formulations, particularly in the assessment of drug delivery systems and their interactions with biological tissues.
Documents
Safety Data Sheets (SDS)
The SDS provides comprehensive safety information on handling, storage, and disposal of the product.
Product Specification (PS)
The PS provides a comprehensive breakdown of the product’s properties, including chemical composition, physical state, purity, and storage requirements. It also details acceptable quality ranges and the product's intended applications.
Certificates of Analysis (COA)
Search for Certificates of Analysis (COA) by entering the products Lot Number. Lot and Batch Numbers can be found on a product’s label following the words ‘Lot’ or ‘Batch’.
Número de catálogo
Número de lote/lote
Certificates Of Origin (COO)
This COO confirms the country where the product was manufactured, and also details the materials and components used in it and whether it is derived from natural, synthetic, or other specific sources. This certificate may be required for customs, trade, and regulatory compliance.
Número de catálogo
Número de lote/lote
Safety Data Sheets (SDS)
The SDS provides comprehensive safety information on handling, storage, and disposal of the product.
DownloadProduct Specification (PS)
The PS provides a comprehensive breakdown of the product’s properties, including chemical composition, physical state, purity, and storage requirements. It also details acceptable quality ranges and the product's intended applications.
DownloadCertificates of Analysis (COA)
Search for Certificates of Analysis (COA) by entering the products Lot Number. Lot and Batch Numbers can be found on a product’s label following the words ‘Lot’ or ‘Batch’.
Número de catálogo
Número de lote/lote
Certificates Of Origin (COO)
This COO confirms the country where the product was manufactured, and also details the materials and components used in it and whether it is derived from natural, synthetic, or other specific sources. This certificate may be required for customs, trade, and regulatory compliance.
