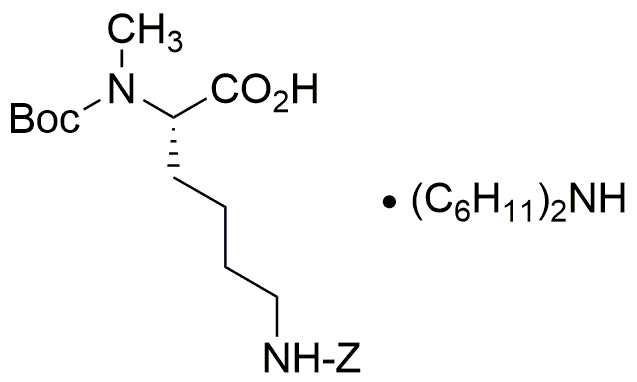
Na-Boc-Na-methyl-Ne-Z-L-lysine dicyclohexylammonium salt is widely utilized in research focused on:
- Peptide Synthesis: This compound serves as a protecting group in the synthesis of peptides, allowing for the selective modification of amino acids without interfering with other functional groups.
- Drug Development: It is employed in the design of peptide-based therapeutics, enhancing the stability and bioavailability of drug candidates, which is crucial in pharmaceutical research.
- Bioconjugation: The compound facilitates the attachment of biomolecules to surfaces or other molecules, aiding in the development of targeted drug delivery systems and diagnostic tools.
- Protein Engineering: Researchers use it to modify lysine residues in proteins, which can improve protein stability and function, particularly in the biotechnology sector.
- Analytical Chemistry: It plays a role in the preparation of samples for mass spectrometry, helping to improve the accuracy and reliability of analytical results in various research applications.
General Information
Properties
Safety and Regulations
Applications
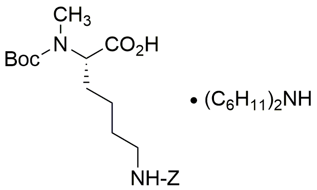
Na-Boc-Na-methyl-Ne-Z-L-lysine dicyclohexylammonium salt is widely utilized in research focused on:
- Peptide Synthesis: This compound serves as a protecting group in the synthesis of peptides, allowing for the selective modification of amino acids without interfering with other functional groups.
- Drug Development: It is employed in the design of peptide-based therapeutics, enhancing the stability and bioavailability of drug candidates, which is crucial in pharmaceutical research.
- Bioconjugation: The compound facilitates the attachment of biomolecules to surfaces or other molecules, aiding in the development of targeted drug delivery systems and diagnostic tools.
- Protein Engineering: Researchers use it to modify lysine residues in proteins, which can improve protein stability and function, particularly in the biotechnology sector.
- Analytical Chemistry: It plays a role in the preparation of samples for mass spectrometry, helping to improve the accuracy and reliability of analytical results in various research applications.
Documents
Safety Data Sheets (SDS)
The SDS provides comprehensive safety information on handling, storage, and disposal of the product.
Product Specification (PS)
The PS provides a comprehensive breakdown of the product’s properties, including chemical composition, physical state, purity, and storage requirements. It also details acceptable quality ranges and the product's intended applications.
Certificates of Analysis (COA)
Search for Certificates of Analysis (COA) by entering the products Lot Number. Lot and Batch Numbers can be found on a product’s label following the words ‘Lot’ or ‘Batch’.
Número de catálogo
Número de lote/lote
Certificates Of Origin (COO)
This COO confirms the country where the product was manufactured, and also details the materials and components used in it and whether it is derived from natural, synthetic, or other specific sources. This certificate may be required for customs, trade, and regulatory compliance.
Número de catálogo
Número de lote/lote
Safety Data Sheets (SDS)
The SDS provides comprehensive safety information on handling, storage, and disposal of the product.
DownloadProduct Specification (PS)
The PS provides a comprehensive breakdown of the product’s properties, including chemical composition, physical state, purity, and storage requirements. It also details acceptable quality ranges and the product's intended applications.
DownloadCertificates of Analysis (COA)
Search for Certificates of Analysis (COA) by entering the products Lot Number. Lot and Batch Numbers can be found on a product’s label following the words ‘Lot’ or ‘Batch’.
Número de catálogo
Número de lote/lote
Certificates Of Origin (COO)
This COO confirms the country where the product was manufactured, and also details the materials and components used in it and whether it is derived from natural, synthetic, or other specific sources. This certificate may be required for customs, trade, and regulatory compliance.
Número de catálogo
Número de lote/lote
Citas
Sign up and save
Entice customers to sign up for your mailing list with discounts or exclusive offers.
