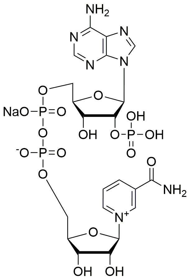
b-Nicotinamide adenine dinucleotide phosphate sodium salt is widely utilized in research focused on:
- Biochemical Research: It serves as a crucial coenzyme in various enzymatic reactions, particularly in redox reactions, making it essential for studies in metabolic pathways.
- Cell Biology: This compound plays a significant role in cellular signaling and energy metabolism, aiding researchers in understanding cellular processes and functions.
- Pharmaceutical Development: Its involvement in NADPH production is vital for drug metabolism studies, helping pharmaceutical companies design more effective medications.
- Plant Biology: Used in studies of photosynthesis and plant metabolism, it helps researchers explore how plants convert light energy into chemical energy.
- Clinical Diagnostics: This compound is valuable in diagnostic assays for measuring enzyme activity related to various diseases, providing insights into patient health.
General Information
Properties
Safety and Regulations
Applications
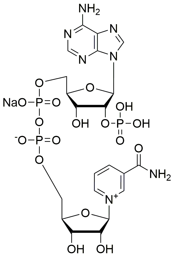
b-Nicotinamide adenine dinucleotide phosphate sodium salt is widely utilized in research focused on:
- Biochemical Research: It serves as a crucial coenzyme in various enzymatic reactions, particularly in redox reactions, making it essential for studies in metabolic pathways.
- Cell Biology: This compound plays a significant role in cellular signaling and energy metabolism, aiding researchers in understanding cellular processes and functions.
- Pharmaceutical Development: Its involvement in NADPH production is vital for drug metabolism studies, helping pharmaceutical companies design more effective medications.
- Plant Biology: Used in studies of photosynthesis and plant metabolism, it helps researchers explore how plants convert light energy into chemical energy.
- Clinical Diagnostics: This compound is valuable in diagnostic assays for measuring enzyme activity related to various diseases, providing insights into patient health.
Documents
Safety Data Sheets (SDS)
The SDS provides comprehensive safety information on handling, storage, and disposal of the product.
Product Specification (PS)
The PS provides a comprehensive breakdown of the product’s properties, including chemical composition, physical state, purity, and storage requirements. It also details acceptable quality ranges and the product's intended applications.
Certificates of Analysis (COA)
Search for Certificates of Analysis (COA) by entering the products Lot Number. Lot and Batch Numbers can be found on a product’s label following the words ‘Lot’ or ‘Batch’.
Número de catálogo
Número de lote/lote
Certificates Of Origin (COO)
This COO confirms the country where the product was manufactured, and also details the materials and components used in it and whether it is derived from natural, synthetic, or other specific sources. This certificate may be required for customs, trade, and regulatory compliance.
Número de catálogo
Número de lote/lote
Safety Data Sheets (SDS)
The SDS provides comprehensive safety information on handling, storage, and disposal of the product.
DownloadProduct Specification (PS)
The PS provides a comprehensive breakdown of the product’s properties, including chemical composition, physical state, purity, and storage requirements. It also details acceptable quality ranges and the product's intended applications.
DownloadCertificates of Analysis (COA)
Search for Certificates of Analysis (COA) by entering the products Lot Number. Lot and Batch Numbers can be found on a product’s label following the words ‘Lot’ or ‘Batch’.
Número de catálogo
Número de lote/lote
Certificates Of Origin (COO)
This COO confirms the country where the product was manufactured, and also details the materials and components used in it and whether it is derived from natural, synthetic, or other specific sources. This certificate may be required for customs, trade, and regulatory compliance.
Número de catálogo
Número de lote/lote
Citas
Sign up and save
Entice customers to sign up for your mailing list with discounts or exclusive offers.
