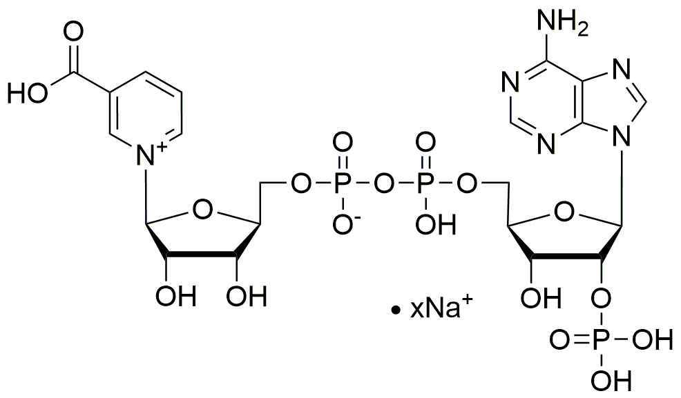
Nicotinic acid adenine dinucleotide phosphate sodium salt is widely utilized in research focused on:
- Biochemical Research: This compound plays a crucial role as a coenzyme in various enzymatic reactions, making it essential for studies related to metabolism and energy production in cells.
- Pharmaceutical Development: It is used in the development of drugs targeting metabolic disorders, enhancing the understanding of how cellular energy pathways can be manipulated for therapeutic benefits.
- Plant Biology: Researchers apply this compound to study its effects on plant growth and development, particularly in understanding how it influences photosynthesis and nutrient uptake.
- Neuroscience: Its role in cellular signaling pathways makes it valuable in neuroscience research, particularly in studying neurotransmitter release and neuronal health.
- Diagnostic Applications: This compound is being explored for its potential in diagnostic assays, helping to identify metabolic dysfunctions in clinical settings.
General Information
Properties
Safety and Regulations
Applications
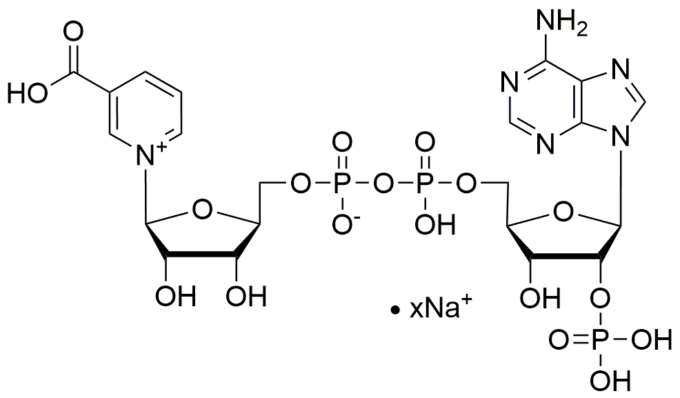
Nicotinic acid adenine dinucleotide phosphate sodium salt is widely utilized in research focused on:
- Biochemical Research: This compound plays a crucial role as a coenzyme in various enzymatic reactions, making it essential for studies related to metabolism and energy production in cells.
- Pharmaceutical Development: It is used in the development of drugs targeting metabolic disorders, enhancing the understanding of how cellular energy pathways can be manipulated for therapeutic benefits.
- Plant Biology: Researchers apply this compound to study its effects on plant growth and development, particularly in understanding how it influences photosynthesis and nutrient uptake.
- Neuroscience: Its role in cellular signaling pathways makes it valuable in neuroscience research, particularly in studying neurotransmitter release and neuronal health.
- Diagnostic Applications: This compound is being explored for its potential in diagnostic assays, helping to identify metabolic dysfunctions in clinical settings.
Documents
Safety Data Sheets (SDS)
The SDS provides comprehensive safety information on handling, storage, and disposal of the product.
Product Specification (PS)
The PS provides a comprehensive breakdown of the product’s properties, including chemical composition, physical state, purity, and storage requirements. It also details acceptable quality ranges and the product's intended applications.
Certificates of Analysis (COA)
Search for Certificates of Analysis (COA) by entering the products Lot Number. Lot and Batch Numbers can be found on a product’s label following the words ‘Lot’ or ‘Batch’.
Numéro de catalogue
Numéro de lot/série
Certificates Of Origin (COO)
This COO confirms the country where the product was manufactured, and also details the materials and components used in it and whether it is derived from natural, synthetic, or other specific sources. This certificate may be required for customs, trade, and regulatory compliance.
Numéro de catalogue
Numéro de lot/série
Safety Data Sheets (SDS)
The SDS provides comprehensive safety information on handling, storage, and disposal of the product.
DownloadProduct Specification (PS)
The PS provides a comprehensive breakdown of the product’s properties, including chemical composition, physical state, purity, and storage requirements. It also details acceptable quality ranges and the product's intended applications.
DownloadCertificates of Analysis (COA)
Search for Certificates of Analysis (COA) by entering the products Lot Number. Lot and Batch Numbers can be found on a product’s label following the words ‘Lot’ or ‘Batch’.
Numéro de catalogue
Numéro de lot/série
Certificates Of Origin (COO)
This COO confirms the country where the product was manufactured, and also details the materials and components used in it and whether it is derived from natural, synthetic, or other specific sources. This certificate may be required for customs, trade, and regulatory compliance.
