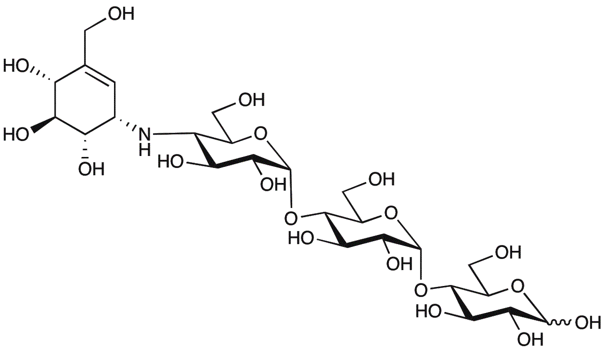
Acarbose hydrate is widely utilized in research focused on:
- Diabetes Management: It is primarily used as an oral medication to help control blood sugar levels in individuals with type 2 diabetes by inhibiting carbohydrate absorption in the intestines.
- Weight Management: By slowing down carbohydrate digestion, it can aid in weight loss efforts, making it beneficial for overweight patients with diabetes.
- Research on Gut Health: Studies are exploring its effects on gut microbiota, which can provide insights into how dietary carbohydrates influence gut health and overall metabolism.
- Pharmaceutical Development: Acarbose hydrate serves as a model compound in the development of new anti-diabetic agents, helping researchers understand the mechanisms of carbohydrate metabolism.
- Food Industry Applications: It is being investigated for potential use in food formulations to reduce glycemic response, offering a functional ingredient for low-glycemic index products.
General Information
Properties
Safety and Regulations
Applications
Acarbose hydrate is widely utilized in research focused on:
- Diabetes Management: It is primarily used as an oral medication to help control blood sugar levels in individuals with type 2 diabetes by inhibiting carbohydrate absorption in the intestines.
- Weight Management: By slowing down carbohydrate digestion, it can aid in weight loss efforts, making it beneficial for overweight patients with diabetes.
- Research on Gut Health: Studies are exploring its effects on gut microbiota, which can provide insights into how dietary carbohydrates influence gut health and overall metabolism.
- Pharmaceutical Development: Acarbose hydrate serves as a model compound in the development of new anti-diabetic agents, helping researchers understand the mechanisms of carbohydrate metabolism.
- Food Industry Applications: It is being investigated for potential use in food formulations to reduce glycemic response, offering a functional ingredient for low-glycemic index products.
Documents
Safety Data Sheets (SDS)
The SDS provides comprehensive safety information on handling, storage, and disposal of the product.
Product Specification (PS)
The PS provides a comprehensive breakdown of the product’s properties, including chemical composition, physical state, purity, and storage requirements. It also details acceptable quality ranges and the product's intended applications.
Certificates of Analysis (COA)
Search for Certificates of Analysis (COA) by entering the products Lot Number. Lot and Batch Numbers can be found on a product’s label following the words ‘Lot’ or ‘Batch’.
Numéro de catalogue
Numéro de lot/série
Certificates Of Origin (COO)
This COO confirms the country where the product was manufactured, and also details the materials and components used in it and whether it is derived from natural, synthetic, or other specific sources. This certificate may be required for customs, trade, and regulatory compliance.
Numéro de catalogue
Numéro de lot/série
Safety Data Sheets (SDS)
The SDS provides comprehensive safety information on handling, storage, and disposal of the product.
DownloadProduct Specification (PS)
The PS provides a comprehensive breakdown of the product’s properties, including chemical composition, physical state, purity, and storage requirements. It also details acceptable quality ranges and the product's intended applications.
DownloadCertificates of Analysis (COA)
Search for Certificates of Analysis (COA) by entering the products Lot Number. Lot and Batch Numbers can be found on a product’s label following the words ‘Lot’ or ‘Batch’.
Numéro de catalogue
Numéro de lot/série
Certificates Of Origin (COO)
This COO confirms the country where the product was manufactured, and also details the materials and components used in it and whether it is derived from natural, synthetic, or other specific sources. This certificate may be required for customs, trade, and regulatory compliance.
Numéro de catalogue
Numéro de lot/série
Citations
Sign up and save
Entice customers to sign up for your mailing list with discounts or exclusive offers.
