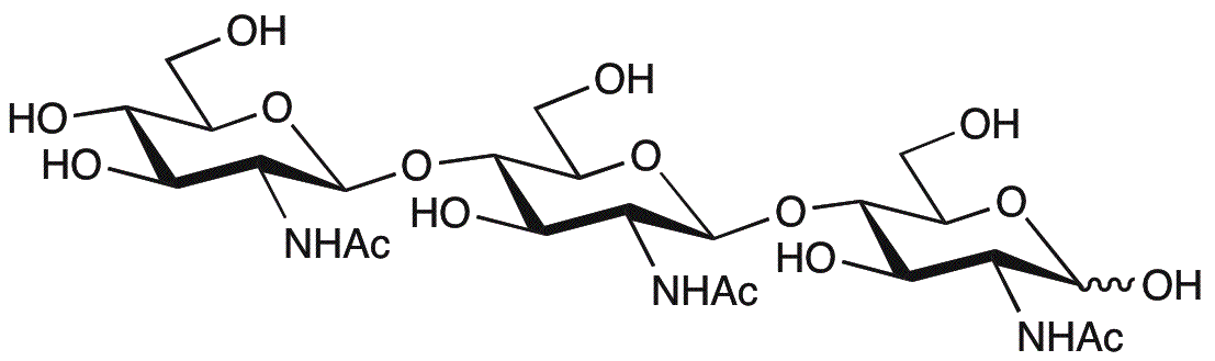
N,N',N''-Triacetylchitotriose is widely utilized in research focused on:
- Biotechnology: This compound serves as a substrate for studying chitinase enzymes, which are crucial in the breakdown of chitin in various organisms. This application is particularly relevant in agricultural biotechnology for developing pest-resistant crops.
- Pharmaceuticals: It is explored for its potential as an immunomodulator, aiding in the development of new therapies for immune-related disorders. Its unique structure allows for targeted drug delivery systems, enhancing therapeutic efficacy.
- Food Industry: Used as a natural preservative, it helps in extending the shelf life of food products by inhibiting microbial growth. This application is beneficial for manufacturers looking to reduce chemical preservatives in their products.
- Cosmetics: The compound is incorporated into skincare formulations for its moisturizing properties, making it an attractive ingredient for products aimed at enhancing skin hydration and barrier function.
- Environmental Science: It is employed in bioremediation processes to facilitate the degradation of pollutants, particularly in soil and water, showcasing its role in sustainable environmental practices.
General Information
Properties
Safety and Regulations
Applications
N,N',N''-Triacetylchitotriose is widely utilized in research focused on:
- Biotechnology: This compound serves as a substrate for studying chitinase enzymes, which are crucial in the breakdown of chitin in various organisms. This application is particularly relevant in agricultural biotechnology for developing pest-resistant crops.
- Pharmaceuticals: It is explored for its potential as an immunomodulator, aiding in the development of new therapies for immune-related disorders. Its unique structure allows for targeted drug delivery systems, enhancing therapeutic efficacy.
- Food Industry: Used as a natural preservative, it helps in extending the shelf life of food products by inhibiting microbial growth. This application is beneficial for manufacturers looking to reduce chemical preservatives in their products.
- Cosmetics: The compound is incorporated into skincare formulations for its moisturizing properties, making it an attractive ingredient for products aimed at enhancing skin hydration and barrier function.
- Environmental Science: It is employed in bioremediation processes to facilitate the degradation of pollutants, particularly in soil and water, showcasing its role in sustainable environmental practices.
Documents
Safety Data Sheets (SDS)
The SDS provides comprehensive safety information on handling, storage, and disposal of the product.
Product Specification (PS)
The PS provides a comprehensive breakdown of the product’s properties, including chemical composition, physical state, purity, and storage requirements. It also details acceptable quality ranges and the product's intended applications.
Certificates of Analysis (COA)
Search for Certificates of Analysis (COA) by entering the products Lot Number. Lot and Batch Numbers can be found on a product’s label following the words ‘Lot’ or ‘Batch’.
Numéro de catalogue
Numéro de lot/série
Certificates Of Origin (COO)
This COO confirms the country where the product was manufactured, and also details the materials and components used in it and whether it is derived from natural, synthetic, or other specific sources. This certificate may be required for customs, trade, and regulatory compliance.
Numéro de catalogue
Numéro de lot/série
Safety Data Sheets (SDS)
The SDS provides comprehensive safety information on handling, storage, and disposal of the product.
DownloadProduct Specification (PS)
The PS provides a comprehensive breakdown of the product’s properties, including chemical composition, physical state, purity, and storage requirements. It also details acceptable quality ranges and the product's intended applications.
DownloadCertificates of Analysis (COA)
Search for Certificates of Analysis (COA) by entering the products Lot Number. Lot and Batch Numbers can be found on a product’s label following the words ‘Lot’ or ‘Batch’.
Numéro de catalogue
Numéro de lot/série
Certificates Of Origin (COO)
This COO confirms the country where the product was manufactured, and also details the materials and components used in it and whether it is derived from natural, synthetic, or other specific sources. This certificate may be required for customs, trade, and regulatory compliance.
Numéro de catalogue
Numéro de lot/série
Citations
Sign up and save
Entice customers to sign up for your mailing list with discounts or exclusive offers.
