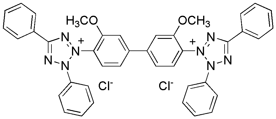
Tetrazolium blue chloride is widely utilized in research focused on:
- Cell Viability Assays: This compound is commonly used in laboratory settings to assess cell viability and proliferation. It helps researchers determine the health of cells in culture, making it essential for drug testing and toxicology studies.
- Histological Staining: In histology, tetrazolium blue chloride serves as a vital stain for identifying living tissues. Its ability to differentiate between viable and non-viable cells aids pathologists in diagnosing diseases.
- Electrochemical Sensors: The compound is employed in the development of electrochemical sensors for detecting various biological and chemical substances. Its redox properties enhance the sensitivity and specificity of these sensors.
- Biochemical Research: Researchers use it to study metabolic activity in microorganisms and other biological systems, providing insights into cellular processes and potential applications in biotechnology.
- Pharmaceutical Development: In the pharmaceutical industry, tetrazolium blue chloride is utilized for screening drug candidates and evaluating their effects on cellular functions, streamlining the drug discovery process.
General Information
Properties
Safety and Regulations
Applications
Tetrazolium blue chloride is widely utilized in research focused on:
- Cell Viability Assays: This compound is commonly used in laboratory settings to assess cell viability and proliferation. It helps researchers determine the health of cells in culture, making it essential for drug testing and toxicology studies.
- Histological Staining: In histology, tetrazolium blue chloride serves as a vital stain for identifying living tissues. Its ability to differentiate between viable and non-viable cells aids pathologists in diagnosing diseases.
- Electrochemical Sensors: The compound is employed in the development of electrochemical sensors for detecting various biological and chemical substances. Its redox properties enhance the sensitivity and specificity of these sensors.
- Biochemical Research: Researchers use it to study metabolic activity in microorganisms and other biological systems, providing insights into cellular processes and potential applications in biotechnology.
- Pharmaceutical Development: In the pharmaceutical industry, tetrazolium blue chloride is utilized for screening drug candidates and evaluating their effects on cellular functions, streamlining the drug discovery process.
Documents
Safety Data Sheets (SDS)
The SDS provides comprehensive safety information on handling, storage, and disposal of the product.
Product Specification (PS)
The PS provides a comprehensive breakdown of the product’s properties, including chemical composition, physical state, purity, and storage requirements. It also details acceptable quality ranges and the product's intended applications.
Certificates of Analysis (COA)
Search for Certificates of Analysis (COA) by entering the products Lot Number. Lot and Batch Numbers can be found on a product’s label following the words ‘Lot’ or ‘Batch’.
Numéro de catalogue
Numéro de lot/série
Certificates Of Origin (COO)
This COO confirms the country where the product was manufactured, and also details the materials and components used in it and whether it is derived from natural, synthetic, or other specific sources. This certificate may be required for customs, trade, and regulatory compliance.
Numéro de catalogue
Numéro de lot/série
Safety Data Sheets (SDS)
The SDS provides comprehensive safety information on handling, storage, and disposal of the product.
DownloadProduct Specification (PS)
The PS provides a comprehensive breakdown of the product’s properties, including chemical composition, physical state, purity, and storage requirements. It also details acceptable quality ranges and the product's intended applications.
DownloadCertificates of Analysis (COA)
Search for Certificates of Analysis (COA) by entering the products Lot Number. Lot and Batch Numbers can be found on a product’s label following the words ‘Lot’ or ‘Batch’.
Numéro de catalogue
Numéro de lot/série
Certificates Of Origin (COO)
This COO confirms the country where the product was manufactured, and also details the materials and components used in it and whether it is derived from natural, synthetic, or other specific sources. This certificate may be required for customs, trade, and regulatory compliance.
Numéro de catalogue
Numéro de lot/série
Citations
Sign up and save
Entice customers to sign up for your mailing list with discounts or exclusive offers.
