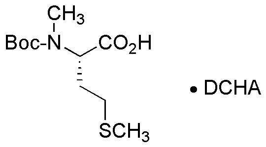
Boc-N-methyl-L-methionine dicyclohexyl ammonium salt is widely utilized in research focused on:
- Peptide Synthesis: This compound serves as a protecting group in peptide synthesis, allowing for the selective modification of amino acids without interfering with other functional groups, which is crucial for creating complex peptides.
- Pharmaceutical Development: It plays a role in drug formulation, particularly in the development of new therapeutics that target specific biological pathways, enhancing the efficacy and specificity of drug candidates.
- Biochemical Research: Researchers use this compound to study protein interactions and enzyme activities, providing insights into metabolic pathways and disease mechanisms.
- Analytical Chemistry: It is employed as a standard in chromatography techniques, aiding in the accurate quantification of related compounds in various samples, which is essential for quality control in pharmaceuticals.
- Cosmetic Formulations: The compound is also explored in cosmetic chemistry for its potential benefits in skin care products, offering stability and enhancing the delivery of active ingredients.
General Information
Properties
Safety and Regulations
Applications
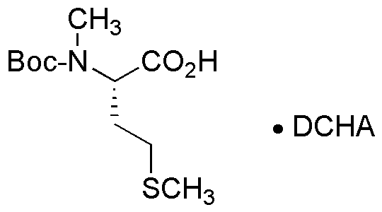
Boc-N-methyl-L-methionine dicyclohexyl ammonium salt is widely utilized in research focused on:
- Peptide Synthesis: This compound serves as a protecting group in peptide synthesis, allowing for the selective modification of amino acids without interfering with other functional groups, which is crucial for creating complex peptides.
- Pharmaceutical Development: It plays a role in drug formulation, particularly in the development of new therapeutics that target specific biological pathways, enhancing the efficacy and specificity of drug candidates.
- Biochemical Research: Researchers use this compound to study protein interactions and enzyme activities, providing insights into metabolic pathways and disease mechanisms.
- Analytical Chemistry: It is employed as a standard in chromatography techniques, aiding in the accurate quantification of related compounds in various samples, which is essential for quality control in pharmaceuticals.
- Cosmetic Formulations: The compound is also explored in cosmetic chemistry for its potential benefits in skin care products, offering stability and enhancing the delivery of active ingredients.
Documents
Safety Data Sheets (SDS)
The SDS provides comprehensive safety information on handling, storage, and disposal of the product.
Product Specification (PS)
The PS provides a comprehensive breakdown of the product’s properties, including chemical composition, physical state, purity, and storage requirements. It also details acceptable quality ranges and the product's intended applications.
Certificates of Analysis (COA)
Search for Certificates of Analysis (COA) by entering the products Lot Number. Lot and Batch Numbers can be found on a product’s label following the words ‘Lot’ or ‘Batch’.
Numéro de catalogue
Numéro de lot/série
Certificates Of Origin (COO)
This COO confirms the country where the product was manufactured, and also details the materials and components used in it and whether it is derived from natural, synthetic, or other specific sources. This certificate may be required for customs, trade, and regulatory compliance.
Numéro de catalogue
Numéro de lot/série
Safety Data Sheets (SDS)
The SDS provides comprehensive safety information on handling, storage, and disposal of the product.
DownloadProduct Specification (PS)
The PS provides a comprehensive breakdown of the product’s properties, including chemical composition, physical state, purity, and storage requirements. It also details acceptable quality ranges and the product's intended applications.
DownloadCertificates of Analysis (COA)
Search for Certificates of Analysis (COA) by entering the products Lot Number. Lot and Batch Numbers can be found on a product’s label following the words ‘Lot’ or ‘Batch’.
Numéro de catalogue
Numéro de lot/série
Certificates Of Origin (COO)
This COO confirms the country where the product was manufactured, and also details the materials and components used in it and whether it is derived from natural, synthetic, or other specific sources. This certificate may be required for customs, trade, and regulatory compliance.
Numéro de catalogue
Numéro de lot/série
Citations
Sign up and save
Entice customers to sign up for your mailing list with discounts or exclusive offers.
