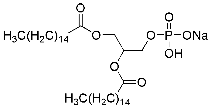
1,2-Dipalmitoyl-sn-glycero-3-phosphatidic acid, sodium salt is widely utilized in research focused on:
- Drug Delivery Systems: This compound serves as a key component in liposomes, which are used to encapsulate drugs for targeted delivery, enhancing therapeutic efficacy while minimizing side effects.
- Cell Membrane Studies: Researchers use it to create model membranes that mimic biological membranes, allowing for the study of membrane dynamics and interactions in cellular processes.
- Vaccine Development: Its properties make it suitable for formulating adjuvants in vaccines, improving immune response and stability of the vaccine formulations.
- Cosmetic Formulations: The compound is incorporated into skincare products for its emulsifying properties, helping to stabilize formulations and enhance skin absorption.
- Biotechnology Applications: It is used in various biotechnological processes, including the formulation of biosensors and in the study of lipid-protein interactions, which are crucial for understanding cellular signaling.
General Information
Properties
Safety and Regulations
Applications
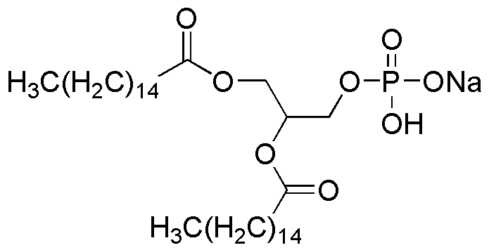
1,2-Dipalmitoyl-sn-glycero-3-phosphatidic acid, sodium salt is widely utilized in research focused on:
- Drug Delivery Systems: This compound serves as a key component in liposomes, which are used to encapsulate drugs for targeted delivery, enhancing therapeutic efficacy while minimizing side effects.
- Cell Membrane Studies: Researchers use it to create model membranes that mimic biological membranes, allowing for the study of membrane dynamics and interactions in cellular processes.
- Vaccine Development: Its properties make it suitable for formulating adjuvants in vaccines, improving immune response and stability of the vaccine formulations.
- Cosmetic Formulations: The compound is incorporated into skincare products for its emulsifying properties, helping to stabilize formulations and enhance skin absorption.
- Biotechnology Applications: It is used in various biotechnological processes, including the formulation of biosensors and in the study of lipid-protein interactions, which are crucial for understanding cellular signaling.
Documents
Safety Data Sheets (SDS)
The SDS provides comprehensive safety information on handling, storage, and disposal of the product.
Product Specification (PS)
The PS provides a comprehensive breakdown of the product’s properties, including chemical composition, physical state, purity, and storage requirements. It also details acceptable quality ranges and the product's intended applications.
Certificates of Analysis (COA)
Search for Certificates of Analysis (COA) by entering the products Lot Number. Lot and Batch Numbers can be found on a product’s label following the words ‘Lot’ or ‘Batch’.
*Catalog Number
*Lot Number
Certificates Of Origin (COO)
This COO confirms the country where the product was manufactured, and also details the materials and components used in it and whether it is derived from natural, synthetic, or other specific sources. This certificate may be required for customs, trade, and regulatory compliance.
*Catalog Number
*Lot Number
Safety Data Sheets (SDS)
The SDS provides comprehensive safety information on handling, storage, and disposal of the product.
DownloadProduct Specification (PS)
The PS provides a comprehensive breakdown of the product’s properties, including chemical composition, physical state, purity, and storage requirements. It also details acceptable quality ranges and the product's intended applications.
DownloadCertificates of Analysis (COA)
Search for Certificates of Analysis (COA) by entering the products Lot Number. Lot and Batch Numbers can be found on a product’s label following the words ‘Lot’ or ‘Batch’.
*Catalog Number
*Lot Number
Certificates Of Origin (COO)
This COO confirms the country where the product was manufactured, and also details the materials and components used in it and whether it is derived from natural, synthetic, or other specific sources. This certificate may be required for customs, trade, and regulatory compliance.
