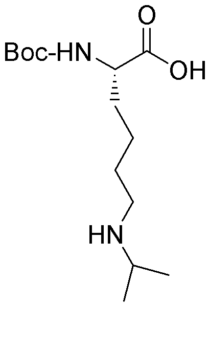
Na-Boc-Ne-isopropyl-L-lysine is widely utilized in research focused on:
- Peptide Synthesis: This compound serves as a protecting group in the synthesis of peptides, allowing chemists to selectively modify amino acids without affecting others, thus enhancing the efficiency of the synthesis process.
- Drug Development: It plays a crucial role in the development of pharmaceutical compounds, particularly in creating drug candidates that require specific amino acid modifications for improved efficacy and stability.
- Bioconjugation: Researchers use it for bioconjugation applications, where it helps in attaching biomolecules to drugs or imaging agents, improving targeting and reducing side effects in therapeutic applications.
- Protein Engineering: The compound is valuable in protein engineering, enabling the design of proteins with enhanced properties, such as increased stability or altered activity, which is essential in various biotechnological applications.
- Research in Neuroscience: It is utilized in studies related to neurotransmitter systems, where modifications to lysine residues can influence receptor interactions, providing insights into neurological functions and potential treatments.
General Information
Properties
Safety and Regulations
Applications
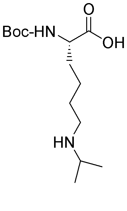
Na-Boc-Ne-isopropyl-L-lysine is widely utilized in research focused on:
- Peptide Synthesis: This compound serves as a protecting group in the synthesis of peptides, allowing chemists to selectively modify amino acids without affecting others, thus enhancing the efficiency of the synthesis process.
- Drug Development: It plays a crucial role in the development of pharmaceutical compounds, particularly in creating drug candidates that require specific amino acid modifications for improved efficacy and stability.
- Bioconjugation: Researchers use it for bioconjugation applications, where it helps in attaching biomolecules to drugs or imaging agents, improving targeting and reducing side effects in therapeutic applications.
- Protein Engineering: The compound is valuable in protein engineering, enabling the design of proteins with enhanced properties, such as increased stability or altered activity, which is essential in various biotechnological applications.
- Research in Neuroscience: It is utilized in studies related to neurotransmitter systems, where modifications to lysine residues can influence receptor interactions, providing insights into neurological functions and potential treatments.
Documents
Safety Data Sheets (SDS)
The SDS provides comprehensive safety information on handling, storage, and disposal of the product.
Product Specification (PS)
The PS provides a comprehensive breakdown of the product’s properties, including chemical composition, physical state, purity, and storage requirements. It also details acceptable quality ranges and the product's intended applications.
Certificates of Analysis (COA)
Search for Certificates of Analysis (COA) by entering the products Lot Number. Lot and Batch Numbers can be found on a product’s label following the words ‘Lot’ or ‘Batch’.
*Catalog Number
*Lot Number
Certificates Of Origin (COO)
This COO confirms the country where the product was manufactured, and also details the materials and components used in it and whether it is derived from natural, synthetic, or other specific sources. This certificate may be required for customs, trade, and regulatory compliance.
*Catalog Number
*Lot Number
Safety Data Sheets (SDS)
The SDS provides comprehensive safety information on handling, storage, and disposal of the product.
DownloadProduct Specification (PS)
The PS provides a comprehensive breakdown of the product’s properties, including chemical composition, physical state, purity, and storage requirements. It also details acceptable quality ranges and the product's intended applications.
DownloadCertificates of Analysis (COA)
Search for Certificates of Analysis (COA) by entering the products Lot Number. Lot and Batch Numbers can be found on a product’s label following the words ‘Lot’ or ‘Batch’.
*Catalog Number
*Lot Number
Certificates Of Origin (COO)
This COO confirms the country where the product was manufactured, and also details the materials and components used in it and whether it is derived from natural, synthetic, or other specific sources. This certificate may be required for customs, trade, and regulatory compliance.
