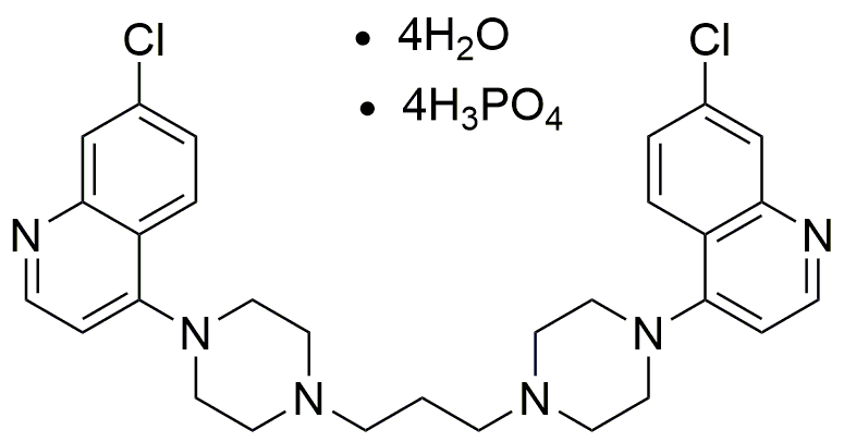
Piperaquine tetraphosphate tetrahydrate is widely utilized in research focused on:
- Antimalarial Treatments: This compound is primarily used in combination therapies for malaria, enhancing the efficacy of existing treatments and helping to combat drug resistance.
- Pharmaceutical Development: It serves as a key ingredient in the formulation of new antimalarial drugs, allowing researchers to explore its synergistic effects with other compounds.
- Clinical Research: Piperaquine tetraphosphate tetrahydrate is involved in clinical trials aimed at evaluating its safety and effectiveness in various populations, providing valuable data for healthcare professionals.
- Vector Control Studies: The compound is also studied for its potential in controlling malaria vectors, contributing to broader public health strategies aimed at reducing malaria transmission.
- Drug Formulation Innovations: Its unique properties facilitate the development of advanced drug delivery systems, improving the bioavailability and therapeutic outcomes of antimalarial medications.
General Information
Properties
Safety and Regulations
Applications
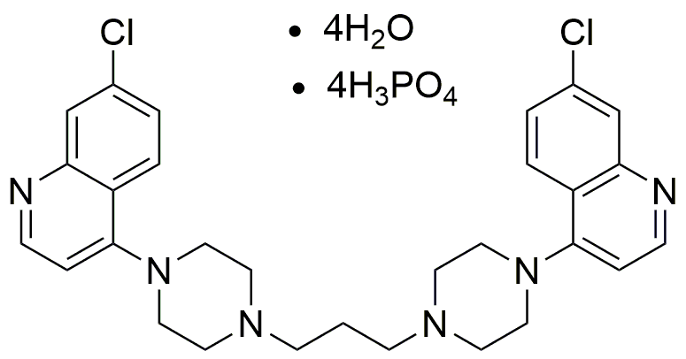
Piperaquine tetraphosphate tetrahydrate is widely utilized in research focused on:
- Antimalarial Treatments: This compound is primarily used in combination therapies for malaria, enhancing the efficacy of existing treatments and helping to combat drug resistance.
- Pharmaceutical Development: It serves as a key ingredient in the formulation of new antimalarial drugs, allowing researchers to explore its synergistic effects with other compounds.
- Clinical Research: Piperaquine tetraphosphate tetrahydrate is involved in clinical trials aimed at evaluating its safety and effectiveness in various populations, providing valuable data for healthcare professionals.
- Vector Control Studies: The compound is also studied for its potential in controlling malaria vectors, contributing to broader public health strategies aimed at reducing malaria transmission.
- Drug Formulation Innovations: Its unique properties facilitate the development of advanced drug delivery systems, improving the bioavailability and therapeutic outcomes of antimalarial medications.
Documents
Safety Data Sheets (SDS)
The SDS provides comprehensive safety information on handling, storage, and disposal of the product.
Product Specification (PS)
The PS provides a comprehensive breakdown of the product’s properties, including chemical composition, physical state, purity, and storage requirements. It also details acceptable quality ranges and the product's intended applications.
Certificates of Analysis (COA)
Search for Certificates of Analysis (COA) by entering the products Lot Number. Lot and Batch Numbers can be found on a product’s label following the words ‘Lot’ or ‘Batch’.
*Catalog Number
*Lot Number
Certificates Of Origin (COO)
This COO confirms the country where the product was manufactured, and also details the materials and components used in it and whether it is derived from natural, synthetic, or other specific sources. This certificate may be required for customs, trade, and regulatory compliance.
*Catalog Number
*Lot Number
Safety Data Sheets (SDS)
The SDS provides comprehensive safety information on handling, storage, and disposal of the product.
DownloadProduct Specification (PS)
The PS provides a comprehensive breakdown of the product’s properties, including chemical composition, physical state, purity, and storage requirements. It also details acceptable quality ranges and the product's intended applications.
DownloadCertificates of Analysis (COA)
Search for Certificates of Analysis (COA) by entering the products Lot Number. Lot and Batch Numbers can be found on a product’s label following the words ‘Lot’ or ‘Batch’.
*Catalog Number
*Lot Number
Certificates Of Origin (COO)
This COO confirms the country where the product was manufactured, and also details the materials and components used in it and whether it is derived from natural, synthetic, or other specific sources. This certificate may be required for customs, trade, and regulatory compliance.
