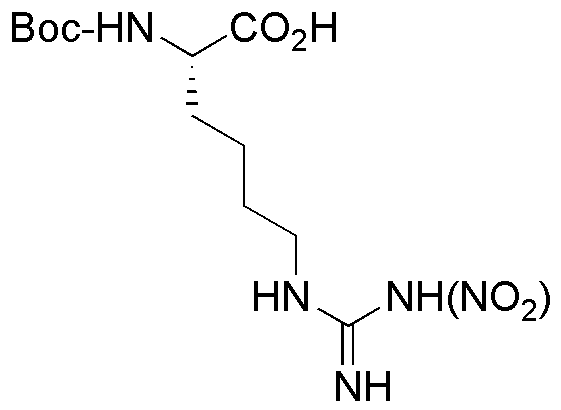
Na-Boc-Nw-nitro-D-homoarginine is widely utilized in research focused on:
- Peptide Synthesis: This compound serves as a protective group in the synthesis of peptides, allowing for the selective modification of amino acids without interfering with other functional groups.
- Drug Development: It plays a crucial role in the development of nitric oxide donors, which are important in cardiovascular research and therapies.
- Biochemical Research: Researchers use it to study the role of nitric oxide in various biological processes, aiding in the understanding of cell signaling and vascular function.
- Pharmaceutical Formulations: Its unique properties make it suitable for formulating drugs that require specific targeting mechanisms, enhancing therapeutic efficacy.
- Analytical Chemistry: This compound is employed in analytical methods to detect and quantify related compounds, providing valuable data for quality control in pharmaceutical manufacturing.
General Information
Properties
Safety and Regulations
Applications
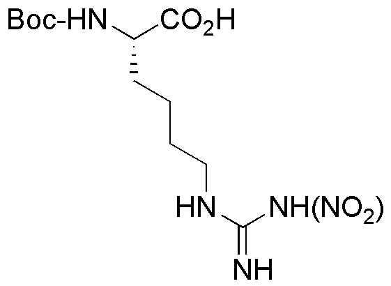
Na-Boc-Nw-nitro-D-homoarginine is widely utilized in research focused on:
- Peptide Synthesis: This compound serves as a protective group in the synthesis of peptides, allowing for the selective modification of amino acids without interfering with other functional groups.
- Drug Development: It plays a crucial role in the development of nitric oxide donors, which are important in cardiovascular research and therapies.
- Biochemical Research: Researchers use it to study the role of nitric oxide in various biological processes, aiding in the understanding of cell signaling and vascular function.
- Pharmaceutical Formulations: Its unique properties make it suitable for formulating drugs that require specific targeting mechanisms, enhancing therapeutic efficacy.
- Analytical Chemistry: This compound is employed in analytical methods to detect and quantify related compounds, providing valuable data for quality control in pharmaceutical manufacturing.
Documents
Safety Data Sheets (SDS)
The SDS provides comprehensive safety information on handling, storage, and disposal of the product.
Product Specification (PS)
The PS provides a comprehensive breakdown of the product’s properties, including chemical composition, physical state, purity, and storage requirements. It also details acceptable quality ranges and the product's intended applications.
Certificates of Analysis (COA)
Search for Certificates of Analysis (COA) by entering the products Lot Number. Lot and Batch Numbers can be found on a product’s label following the words ‘Lot’ or ‘Batch’.
Número de catálogo
Número de lote/lote
Certificates Of Origin (COO)
This COO confirms the country where the product was manufactured, and also details the materials and components used in it and whether it is derived from natural, synthetic, or other specific sources. This certificate may be required for customs, trade, and regulatory compliance.
Número de catálogo
Número de lote/lote
Safety Data Sheets (SDS)
The SDS provides comprehensive safety information on handling, storage, and disposal of the product.
DownloadProduct Specification (PS)
The PS provides a comprehensive breakdown of the product’s properties, including chemical composition, physical state, purity, and storage requirements. It also details acceptable quality ranges and the product's intended applications.
DownloadCertificates of Analysis (COA)
Search for Certificates of Analysis (COA) by entering the products Lot Number. Lot and Batch Numbers can be found on a product’s label following the words ‘Lot’ or ‘Batch’.
Número de catálogo
Número de lote/lote
Certificates Of Origin (COO)
This COO confirms the country where the product was manufactured, and also details the materials and components used in it and whether it is derived from natural, synthetic, or other specific sources. This certificate may be required for customs, trade, and regulatory compliance.
