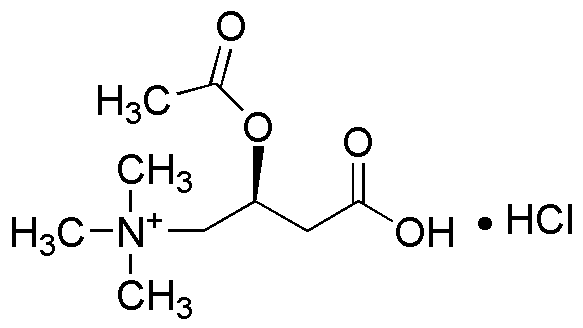
Acetyl-D-carnitine chloride is widely utilized in research focused on:
- Neuroprotection: This compound is studied for its potential to protect neurons from damage, making it relevant in neurodegenerative disease research, such as Alzheimer's and Parkinson's.
- Energy Metabolism: It plays a role in fatty acid metabolism, which can be beneficial for athletes and individuals looking to enhance physical performance and endurance.
- Memory Enhancement: Research indicates that it may improve cognitive function and memory, leading to applications in supplements aimed at enhancing mental clarity and focus.
- Psychiatric Disorders: It is being explored for its potential benefits in treating mood disorders, providing a new avenue for therapeutic interventions.
- Cellular Health: The compound is investigated for its role in promoting mitochondrial function, which is crucial for overall cellular health and longevity.
General Information
Properties
Safety and Regulations
Applications
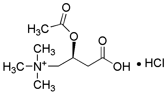
Acetyl-D-carnitine chloride is widely utilized in research focused on:
- Neuroprotection: This compound is studied for its potential to protect neurons from damage, making it relevant in neurodegenerative disease research, such as Alzheimer's and Parkinson's.
- Energy Metabolism: It plays a role in fatty acid metabolism, which can be beneficial for athletes and individuals looking to enhance physical performance and endurance.
- Memory Enhancement: Research indicates that it may improve cognitive function and memory, leading to applications in supplements aimed at enhancing mental clarity and focus.
- Psychiatric Disorders: It is being explored for its potential benefits in treating mood disorders, providing a new avenue for therapeutic interventions.
- Cellular Health: The compound is investigated for its role in promoting mitochondrial function, which is crucial for overall cellular health and longevity.
Documents
Safety Data Sheets (SDS)
The SDS provides comprehensive safety information on handling, storage, and disposal of the product.
Product Specification (PS)
The PS provides a comprehensive breakdown of the product’s properties, including chemical composition, physical state, purity, and storage requirements. It also details acceptable quality ranges and the product's intended applications.
Certificates of Analysis (COA)
Search for Certificates of Analysis (COA) by entering the products Lot Number. Lot and Batch Numbers can be found on a product’s label following the words ‘Lot’ or ‘Batch’.
Numéro de catalogue
Numéro de lot/série
Certificates Of Origin (COO)
This COO confirms the country where the product was manufactured, and also details the materials and components used in it and whether it is derived from natural, synthetic, or other specific sources. This certificate may be required for customs, trade, and regulatory compliance.
Numéro de catalogue
Numéro de lot/série
Safety Data Sheets (SDS)
The SDS provides comprehensive safety information on handling, storage, and disposal of the product.
DownloadProduct Specification (PS)
The PS provides a comprehensive breakdown of the product’s properties, including chemical composition, physical state, purity, and storage requirements. It also details acceptable quality ranges and the product's intended applications.
DownloadCertificates of Analysis (COA)
Search for Certificates of Analysis (COA) by entering the products Lot Number. Lot and Batch Numbers can be found on a product’s label following the words ‘Lot’ or ‘Batch’.
Numéro de catalogue
Numéro de lot/série
Certificates Of Origin (COO)
This COO confirms the country where the product was manufactured, and also details the materials and components used in it and whether it is derived from natural, synthetic, or other specific sources. This certificate may be required for customs, trade, and regulatory compliance.
