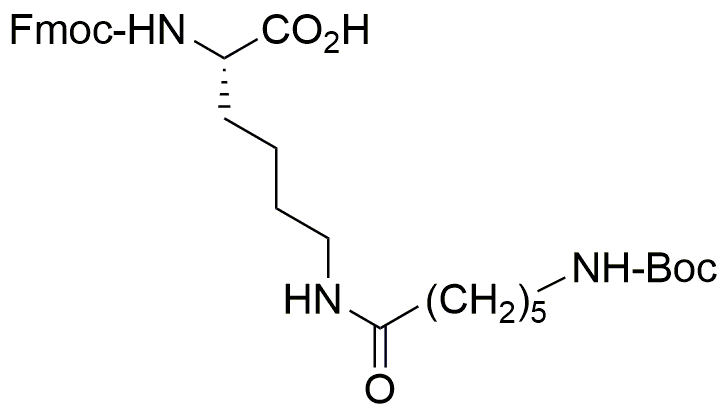
Na -Fmoc- Ne -Boc-e-aminocaproyl-L-lysine is widely utilized in research focused on:
- Peptide Synthesis: This compound serves as a key building block in the synthesis of peptides, allowing researchers to create complex structures for various biological studies.
- Drug Development: It is used in the design of peptide-based drugs, particularly in targeting specific receptors, enhancing the efficacy of therapeutic agents.
- Bioconjugation: The compound facilitates the attachment of biomolecules to surfaces or other molecules, which is crucial in developing biosensors and drug delivery systems.
- Research in Cancer Therapy: Its properties enable the exploration of new cancer treatments by modifying peptides to improve their targeting and effectiveness against tumor cells.
- Protein Engineering: This chemical aids in the modification of proteins, enhancing their stability and functionality, which is essential for various biotechnological applications.
General Information
Properties
Safety and Regulations
Applications
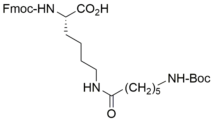
Na -Fmoc- Ne -Boc-e-aminocaproyl-L-lysine is widely utilized in research focused on:
- Peptide Synthesis: This compound serves as a key building block in the synthesis of peptides, allowing researchers to create complex structures for various biological studies.
- Drug Development: It is used in the design of peptide-based drugs, particularly in targeting specific receptors, enhancing the efficacy of therapeutic agents.
- Bioconjugation: The compound facilitates the attachment of biomolecules to surfaces or other molecules, which is crucial in developing biosensors and drug delivery systems.
- Research in Cancer Therapy: Its properties enable the exploration of new cancer treatments by modifying peptides to improve their targeting and effectiveness against tumor cells.
- Protein Engineering: This chemical aids in the modification of proteins, enhancing their stability and functionality, which is essential for various biotechnological applications.
Documents
Safety Data Sheets (SDS)
The SDS provides comprehensive safety information on handling, storage, and disposal of the product.
Product Specification (PS)
The PS provides a comprehensive breakdown of the product’s properties, including chemical composition, physical state, purity, and storage requirements. It also details acceptable quality ranges and the product's intended applications.
Certificates of Analysis (COA)
Search for Certificates of Analysis (COA) by entering the products Lot Number. Lot and Batch Numbers can be found on a product’s label following the words ‘Lot’ or ‘Batch’.
Numéro de catalogue
Numéro de lot/série
Certificates Of Origin (COO)
This COO confirms the country where the product was manufactured, and also details the materials and components used in it and whether it is derived from natural, synthetic, or other specific sources. This certificate may be required for customs, trade, and regulatory compliance.
Numéro de catalogue
Numéro de lot/série
Safety Data Sheets (SDS)
The SDS provides comprehensive safety information on handling, storage, and disposal of the product.
DownloadProduct Specification (PS)
The PS provides a comprehensive breakdown of the product’s properties, including chemical composition, physical state, purity, and storage requirements. It also details acceptable quality ranges and the product's intended applications.
DownloadCertificates of Analysis (COA)
Search for Certificates of Analysis (COA) by entering the products Lot Number. Lot and Batch Numbers can be found on a product’s label following the words ‘Lot’ or ‘Batch’.
Numéro de catalogue
Numéro de lot/série
Certificates Of Origin (COO)
This COO confirms the country where the product was manufactured, and also details the materials and components used in it and whether it is derived from natural, synthetic, or other specific sources. This certificate may be required for customs, trade, and regulatory compliance.
