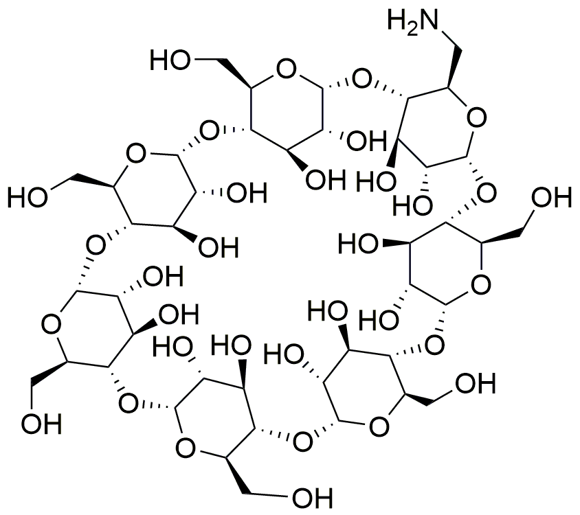
6-Monodeoxy-6-monoamino-b-cyclodextrin hydrochloride is widely utilized in research focused on:
- Drug Delivery Systems: This compound enhances the solubility and stability of poorly soluble drugs, making it an excellent candidate for formulating more effective pharmaceutical products.
- Food Industry: It is used as a food additive to encapsulate flavors and nutrients, improving the delivery and shelf-life of food products.
- Cosmetics: The compound serves as a stabilizing agent in cosmetic formulations, helping to improve the texture and efficacy of skin-care products.
- Biotechnology: It plays a crucial role in the development of biosensors, aiding in the detection of specific biomolecules with high sensitivity.
- Environmental Applications: This chemical is utilized in environmental remediation processes, particularly in the removal of pollutants from water through encapsulation techniques.
General Information
Properties
Safety and Regulations
Applications
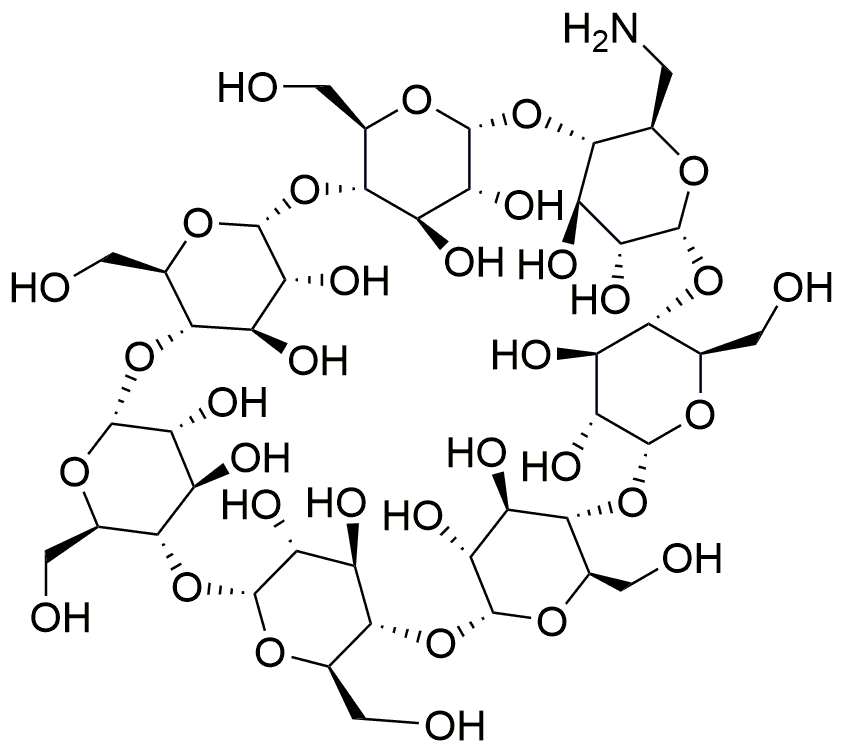
6-Monodeoxy-6-monoamino-b-cyclodextrin hydrochloride is widely utilized in research focused on:
- Drug Delivery Systems: This compound enhances the solubility and stability of poorly soluble drugs, making it an excellent candidate for formulating more effective pharmaceutical products.
- Food Industry: It is used as a food additive to encapsulate flavors and nutrients, improving the delivery and shelf-life of food products.
- Cosmetics: The compound serves as a stabilizing agent in cosmetic formulations, helping to improve the texture and efficacy of skin-care products.
- Biotechnology: It plays a crucial role in the development of biosensors, aiding in the detection of specific biomolecules with high sensitivity.
- Environmental Applications: This chemical is utilized in environmental remediation processes, particularly in the removal of pollutants from water through encapsulation techniques.
Documents
Safety Data Sheets (SDS)
The SDS provides comprehensive safety information on handling, storage, and disposal of the product.
Product Specification (PS)
The PS provides a comprehensive breakdown of the product’s properties, including chemical composition, physical state, purity, and storage requirements. It also details acceptable quality ranges and the product's intended applications.
Certificates of Analysis (COA)
Search for Certificates of Analysis (COA) by entering the products Lot Number. Lot and Batch Numbers can be found on a product’s label following the words ‘Lot’ or ‘Batch’.
Numéro de catalogue
Numéro de lot/série
Certificates Of Origin (COO)
This COO confirms the country where the product was manufactured, and also details the materials and components used in it and whether it is derived from natural, synthetic, or other specific sources. This certificate may be required for customs, trade, and regulatory compliance.
Numéro de catalogue
Numéro de lot/série
Safety Data Sheets (SDS)
The SDS provides comprehensive safety information on handling, storage, and disposal of the product.
DownloadProduct Specification (PS)
The PS provides a comprehensive breakdown of the product’s properties, including chemical composition, physical state, purity, and storage requirements. It also details acceptable quality ranges and the product's intended applications.
DownloadCertificates of Analysis (COA)
Search for Certificates of Analysis (COA) by entering the products Lot Number. Lot and Batch Numbers can be found on a product’s label following the words ‘Lot’ or ‘Batch’.
Numéro de catalogue
Numéro de lot/série
Certificates Of Origin (COO)
This COO confirms the country where the product was manufactured, and also details the materials and components used in it and whether it is derived from natural, synthetic, or other specific sources. This certificate may be required for customs, trade, and regulatory compliance.
