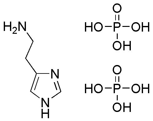
Histamine diphosphate salt is widely utilized in research focused on:
- Pharmaceutical Development: It serves as a key ingredient in the formulation of antihistamines, aiding in the treatment of allergic reactions and asthma.
- Neuroscience Research: This compound is used to study neurotransmitter systems, particularly in understanding the role of histamine in brain function and behavior.
- Immunology: Researchers employ it to investigate immune responses, particularly how histamine influences inflammation and allergic reactions.
- Diagnostic Tools: It is utilized in assays and tests to measure histamine levels in biological samples, providing insights into various health conditions.
- Food Industry: The compound is explored for its potential in food preservation and safety, particularly in controlling microbial growth.
General Information
Properties
Safety and Regulations
Applications
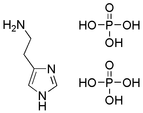
Histamine diphosphate salt is widely utilized in research focused on:
- Pharmaceutical Development: It serves as a key ingredient in the formulation of antihistamines, aiding in the treatment of allergic reactions and asthma.
- Neuroscience Research: This compound is used to study neurotransmitter systems, particularly in understanding the role of histamine in brain function and behavior.
- Immunology: Researchers employ it to investigate immune responses, particularly how histamine influences inflammation and allergic reactions.
- Diagnostic Tools: It is utilized in assays and tests to measure histamine levels in biological samples, providing insights into various health conditions.
- Food Industry: The compound is explored for its potential in food preservation and safety, particularly in controlling microbial growth.
Documents
Safety Data Sheets (SDS)
The SDS provides comprehensive safety information on handling, storage, and disposal of the product.
Product Specification (PS)
The PS provides a comprehensive breakdown of the product’s properties, including chemical composition, physical state, purity, and storage requirements. It also details acceptable quality ranges and the product's intended applications.
Certificates of Analysis (COA)
Search for Certificates of Analysis (COA) by entering the products Lot Number. Lot and Batch Numbers can be found on a product’s label following the words ‘Lot’ or ‘Batch’.
*Catalog Number
*Lot Number
Certificates Of Origin (COO)
This COO confirms the country where the product was manufactured, and also details the materials and components used in it and whether it is derived from natural, synthetic, or other specific sources. This certificate may be required for customs, trade, and regulatory compliance.
*Catalog Number
*Lot Number
Safety Data Sheets (SDS)
The SDS provides comprehensive safety information on handling, storage, and disposal of the product.
DownloadProduct Specification (PS)
The PS provides a comprehensive breakdown of the product’s properties, including chemical composition, physical state, purity, and storage requirements. It also details acceptable quality ranges and the product's intended applications.
DownloadCertificates of Analysis (COA)
Search for Certificates of Analysis (COA) by entering the products Lot Number. Lot and Batch Numbers can be found on a product’s label following the words ‘Lot’ or ‘Batch’.
*Catalog Number
*Lot Number
Certificates Of Origin (COO)
This COO confirms the country where the product was manufactured, and also details the materials and components used in it and whether it is derived from natural, synthetic, or other specific sources. This certificate may be required for customs, trade, and regulatory compliance.
