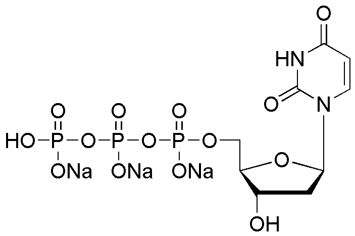
2'-Deoxyuridine-5'-triphosphate sodium salt is widely utilized in research focused on:
- Genetic Research: This compound is essential for synthesizing DNA in vitro, making it a critical reagent for researchers studying genetic material and its functions.
- Polymerase Chain Reaction (PCR): It serves as a nucleotide substrate in PCR, allowing for the amplification of specific DNA sequences, which is vital in diagnostics and genetic testing.
- Antiviral Drug Development: The compound is used in the development of antiviral therapies, particularly those targeting viral DNA replication, providing a pathway for innovative treatments.
- Cellular Metabolism Studies: It helps in exploring metabolic pathways in cells, aiding researchers in understanding how cells utilize nucleotides for energy and growth.
- Biotechnology Applications: This chemical is employed in various biotechnological applications, including the production of recombinant proteins, enhancing the efficiency of gene expression systems.
General Information
Properties
Safety and Regulations
Applications
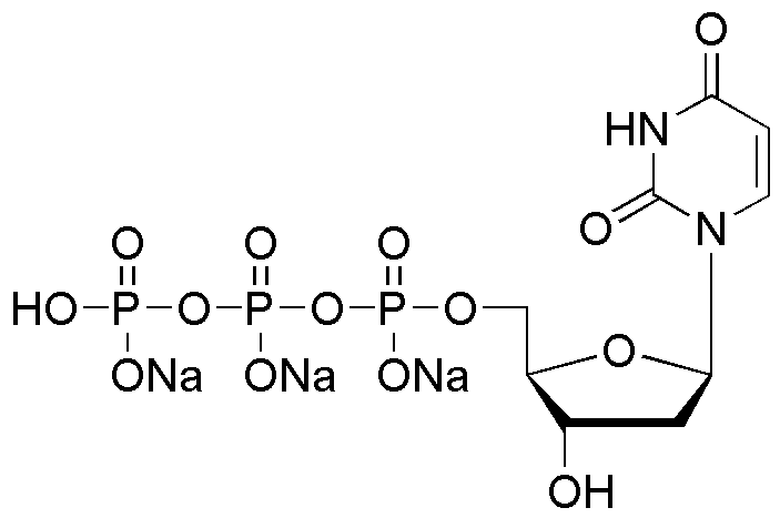
2'-Deoxyuridine-5'-triphosphate sodium salt is widely utilized in research focused on:
- Genetic Research: This compound is essential for synthesizing DNA in vitro, making it a critical reagent for researchers studying genetic material and its functions.
- Polymerase Chain Reaction (PCR): It serves as a nucleotide substrate in PCR, allowing for the amplification of specific DNA sequences, which is vital in diagnostics and genetic testing.
- Antiviral Drug Development: The compound is used in the development of antiviral therapies, particularly those targeting viral DNA replication, providing a pathway for innovative treatments.
- Cellular Metabolism Studies: It helps in exploring metabolic pathways in cells, aiding researchers in understanding how cells utilize nucleotides for energy and growth.
- Biotechnology Applications: This chemical is employed in various biotechnological applications, including the production of recombinant proteins, enhancing the efficiency of gene expression systems.
Documents
Safety Data Sheets (SDS)
The SDS provides comprehensive safety information on handling, storage, and disposal of the product.
Product Specification (PS)
The PS provides a comprehensive breakdown of the product’s properties, including chemical composition, physical state, purity, and storage requirements. It also details acceptable quality ranges and the product's intended applications.
Certificates of Analysis (COA)
Search for Certificates of Analysis (COA) by entering the products Lot Number. Lot and Batch Numbers can be found on a product’s label following the words ‘Lot’ or ‘Batch’.
*Catalog Number
*Lot Number
Certificates Of Origin (COO)
This COO confirms the country where the product was manufactured, and also details the materials and components used in it and whether it is derived from natural, synthetic, or other specific sources. This certificate may be required for customs, trade, and regulatory compliance.
*Catalog Number
*Lot Number
Safety Data Sheets (SDS)
The SDS provides comprehensive safety information on handling, storage, and disposal of the product.
DownloadProduct Specification (PS)
The PS provides a comprehensive breakdown of the product’s properties, including chemical composition, physical state, purity, and storage requirements. It also details acceptable quality ranges and the product's intended applications.
DownloadCertificates of Analysis (COA)
Search for Certificates of Analysis (COA) by entering the products Lot Number. Lot and Batch Numbers can be found on a product’s label following the words ‘Lot’ or ‘Batch’.
*Catalog Number
*Lot Number
Certificates Of Origin (COO)
This COO confirms the country where the product was manufactured, and also details the materials and components used in it and whether it is derived from natural, synthetic, or other specific sources. This certificate may be required for customs, trade, and regulatory compliance.
