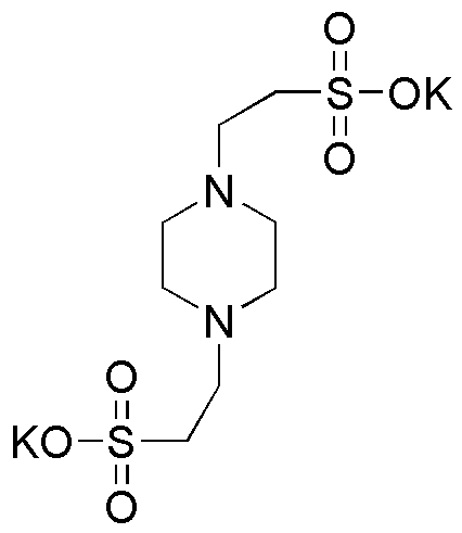
Piperazine-N,N'-bis(2-ethanesulfonic acid) dipotassium salt is widely utilized in research focused on:
- Biological Buffering: This compound serves as an effective buffering agent in biological and biochemical research, helping to maintain pH stability in various experiments, which is crucial for enzyme activity and cellular processes.
- Pharmaceutical Formulations: It is used in the development of drug formulations, particularly in stabilizing active ingredients and enhancing solubility, making it valuable in the pharmaceutical industry.
- Cell Culture Applications: Researchers use this compound in cell culture media to support cell growth and maintain optimal conditions, which is essential for studies in cellular biology and drug testing.
- Electrophoresis: It plays a role in electrophoresis techniques, where it helps to separate biomolecules based on size and charge, facilitating research in genetics and proteomics.
- Environmental Testing: The compound is also applied in environmental science for testing water quality, as it can help in the analysis of pollutants and other substances in aquatic systems.
General Information
Properties
Safety and Regulations
Applications
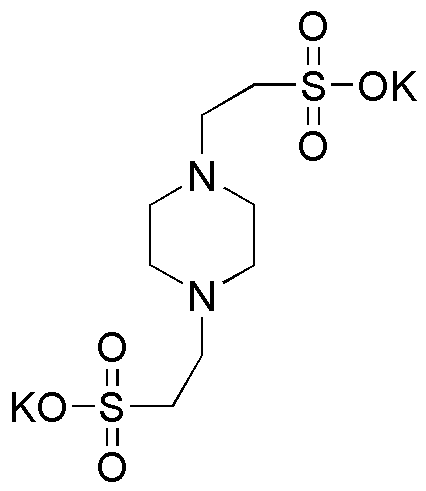
Piperazine-N,N'-bis(2-ethanesulfonic acid) dipotassium salt is widely utilized in research focused on:
- Biological Buffering: This compound serves as an effective buffering agent in biological and biochemical research, helping to maintain pH stability in various experiments, which is crucial for enzyme activity and cellular processes.
- Pharmaceutical Formulations: It is used in the development of drug formulations, particularly in stabilizing active ingredients and enhancing solubility, making it valuable in the pharmaceutical industry.
- Cell Culture Applications: Researchers use this compound in cell culture media to support cell growth and maintain optimal conditions, which is essential for studies in cellular biology and drug testing.
- Electrophoresis: It plays a role in electrophoresis techniques, where it helps to separate biomolecules based on size and charge, facilitating research in genetics and proteomics.
- Environmental Testing: The compound is also applied in environmental science for testing water quality, as it can help in the analysis of pollutants and other substances in aquatic systems.
Documents
Safety Data Sheets (SDS)
The SDS provides comprehensive safety information on handling, storage, and disposal of the product.
Product Specification (PS)
The PS provides a comprehensive breakdown of the product’s properties, including chemical composition, physical state, purity, and storage requirements. It also details acceptable quality ranges and the product's intended applications.
Certificates of Analysis (COA)
Search for Certificates of Analysis (COA) by entering the products Lot Number. Lot and Batch Numbers can be found on a product’s label following the words ‘Lot’ or ‘Batch’.
*Catalog Number
*Lot Number
Certificates Of Origin (COO)
This COO confirms the country where the product was manufactured, and also details the materials and components used in it and whether it is derived from natural, synthetic, or other specific sources. This certificate may be required for customs, trade, and regulatory compliance.
*Catalog Number
*Lot Number
Safety Data Sheets (SDS)
The SDS provides comprehensive safety information on handling, storage, and disposal of the product.
DownloadProduct Specification (PS)
The PS provides a comprehensive breakdown of the product’s properties, including chemical composition, physical state, purity, and storage requirements. It also details acceptable quality ranges and the product's intended applications.
DownloadCertificates of Analysis (COA)
Search for Certificates of Analysis (COA) by entering the products Lot Number. Lot and Batch Numbers can be found on a product’s label following the words ‘Lot’ or ‘Batch’.
*Catalog Number
*Lot Number
Certificates Of Origin (COO)
This COO confirms the country where the product was manufactured, and also details the materials and components used in it and whether it is derived from natural, synthetic, or other specific sources. This certificate may be required for customs, trade, and regulatory compliance.
