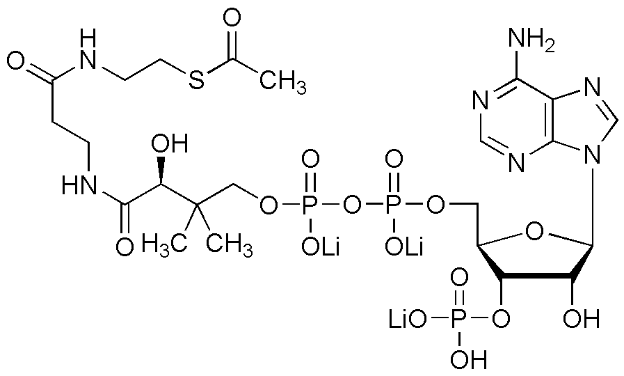
Acetyl coenzyme A trilithium salt is widely utilized in research focused on:
- Biochemical Research: This compound plays a crucial role in metabolic studies, particularly in understanding energy production and fatty acid metabolism, making it essential for researchers in biochemistry and molecular biology.
- Pharmaceutical Development: It serves as a key intermediate in the synthesis of various pharmaceuticals, aiding in the development of drugs that target metabolic disorders and cancer therapies.
- Enzyme Activity Studies: Researchers use it to investigate enzyme kinetics and mechanisms, providing insights into how enzymes function in biological systems, which is vital for drug design.
- Cell Culture Applications: This compound is utilized in cell culture media to enhance growth and productivity of cell lines, particularly in the production of recombinant proteins and monoclonal antibodies.
- Metabolomics: It is employed in metabolomic studies to profile metabolic pathways, helping researchers identify biomarkers for diseases and understand metabolic changes in various conditions.
General Information
Properties
Safety and Regulations
Applications
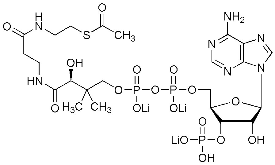
Acetyl coenzyme A trilithium salt is widely utilized in research focused on:
- Biochemical Research: This compound plays a crucial role in metabolic studies, particularly in understanding energy production and fatty acid metabolism, making it essential for researchers in biochemistry and molecular biology.
- Pharmaceutical Development: It serves as a key intermediate in the synthesis of various pharmaceuticals, aiding in the development of drugs that target metabolic disorders and cancer therapies.
- Enzyme Activity Studies: Researchers use it to investigate enzyme kinetics and mechanisms, providing insights into how enzymes function in biological systems, which is vital for drug design.
- Cell Culture Applications: This compound is utilized in cell culture media to enhance growth and productivity of cell lines, particularly in the production of recombinant proteins and monoclonal antibodies.
- Metabolomics: It is employed in metabolomic studies to profile metabolic pathways, helping researchers identify biomarkers for diseases and understand metabolic changes in various conditions.
Documents
Safety Data Sheets (SDS)
The SDS provides comprehensive safety information on handling, storage, and disposal of the product.
Product Specification (PS)
The PS provides a comprehensive breakdown of the product’s properties, including chemical composition, physical state, purity, and storage requirements. It also details acceptable quality ranges and the product's intended applications.
Certificates of Analysis (COA)
Search for Certificates of Analysis (COA) by entering the products Lot Number. Lot and Batch Numbers can be found on a product’s label following the words ‘Lot’ or ‘Batch’.
*Catalog Number
*Lot Number
Certificates Of Origin (COO)
This COO confirms the country where the product was manufactured, and also details the materials and components used in it and whether it is derived from natural, synthetic, or other specific sources. This certificate may be required for customs, trade, and regulatory compliance.
*Catalog Number
*Lot Number
Safety Data Sheets (SDS)
The SDS provides comprehensive safety information on handling, storage, and disposal of the product.
DownloadProduct Specification (PS)
The PS provides a comprehensive breakdown of the product’s properties, including chemical composition, physical state, purity, and storage requirements. It also details acceptable quality ranges and the product's intended applications.
DownloadCertificates of Analysis (COA)
Search for Certificates of Analysis (COA) by entering the products Lot Number. Lot and Batch Numbers can be found on a product’s label following the words ‘Lot’ or ‘Batch’.
*Catalog Number
*Lot Number
Certificates Of Origin (COO)
This COO confirms the country where the product was manufactured, and also details the materials and components used in it and whether it is derived from natural, synthetic, or other specific sources. This certificate may be required for customs, trade, and regulatory compliance.
